High-resolution Quantification of Specific mRNA Levels in Human Brain Autopsies and Biopsies

  1. Anja Castensson1,
  2. Lina Emilsson1,
  3. Paul Preece2, and
  4. and Elena Jazin1,3
  1. 1Section of Medical Genetics, Department of Genetics and Pathology, Rudbeck Laboratory, Uppsala University, S-751 85 Uppsala, Sweden; 2University College London, MRC Laboratory for Molecular Cell Biology and Department of Pharmacology, London WC1E 6BT, England

Abstract

Quantification of mRNA levels in human cortical brain biopsies and autopsies was performed using a fluorogenic 5′ nuclease assay. The reproducibility of the assay using replica plates was 97%–99%. Relative quantities of mRNA from 16 different genes were evaluated using a statistical approach based on ANCOVA analysis. Comparison of the relative mRNA levels between two groups of samples with different time postmortem revealed unchanged relative expression levels for most genes. Only CYP26A1 mRNA levels showed a significant decrease with prolonged time postmortem (p = 0.00004). Also, there was a general decrease in measured mRNA levels for all genes in autopsies compared to biopsies; however, on comparing mRNA levels after adjusting with reference genes, no significant differences were found between mRNA levels in autopsies and biopsies. This observation indicates that studies of postmortem material can be performed to reveal the relative in vivo mRNA levels of genes. Power calculations were done to determine the number of individuals necessary to detect differences in mRNA levels of 1.5-fold to tenfold using the strategy described here. This analysis showed that samples from at least 50 individuals per group, patients and controls, are required for high-resolution (∼twofold changes) differential expression screenings in the human brain. Experiments done on ten individuals per group will result in a resolution of ∼fivefold changes in expression levels. In general, the sensitivity and resolution of any differential expression study will depend on the sample size used and the between-individual variability of the genes analyzed.

Accurate determinations of differences in mRNA and/or protein expression between normal and abnormal states will have increasing importance in the search for new targets for drug design and in the prediction of patient response to drug treatment (Bailey et al. 1998, Debouck and Goodfellow 1999; Leboyer et al. 1998; Tu 1994). Expression studies might also aid in the search for candidate genes that determine the genetics of personality traits (Bouchard 1994;Cloninger et al. 1996).

In the last ten years, several different approaches for measurement of gene RNA expression have been developed. Northern blot is a hybridization-based technique that has been used extensively. Other methods are sequence-based, e.g., SAGE (SerialAnalysis of Gene Expression) and EST analysis (Expressed SequenceTag); or PCR (Polymerase ChainReaction) based, e.g., differential display and RDA (Representational DifferenceAnalysis) (Kozian and Kirschbaum 1999; Soares 1997; Vietor and Huber 1997). These approaches are technically demanding, time consuming, and semi-quantitative. Similar problems are found when expression levels are studied by RT-PCR (Taylor and Robinson 1998; Wen et al. 1998).

Oligonucleotide and cDNA microarray assays are fluorescence or radioactivity based expression techniques that may revolutionize the detection of different gene expression patterns. The basic methods for cDNA array hybridization have been available for 20 years (Pietu et al. 1999); however, only recently have advances in the development of microarray formats of increased density have made it possible to analyze the simultaneous expression of multiple genes (Cole et al. 1999; DeRisi et al. 1996; Iyer et al. 1999; Myers et al. 1999). An increased use of microarrays is expected, through the rapidly advancing manufacturing technology, that will enable the mass production of chips and ensure the availability, quality, and lower costs of the technique. The difficulties in obtaining high sensitivity, efficiency, and reproducibility for microarray assays include the contribution of repeated sequences to the signal, existence of closely related gene families, background subtraction procedures, assignment of the measured hybridization to the correct gene, and development of efficient procedures to handle the thousands of data points produced in each experiment (Bassett et al. 1999; Cole et al. 1999; Eisen et al. 1998;Greller and Tobin 1999; Iyer et al. 1999; Jennings and Young 1999;Marton et al. 1998; Pietu et al. 1999). The most important problem is the resolution and the ability to detect small changes in the expression of genes that may differ by several orders of magnitude. The dynamic range of microarrays is limited by hybridization kinetics. In other words, microarray expression information is quantitative only when the relationship between the test genes and the reference genes is linear in the hybridization assay. To accurately measure expression differences of several orders of magnitude, as well as 1.5-fold differences in expression of genes, other approaches must be used. One possibility is to use real-time PCR approaches (Gibson et al.1996; Heid et al. 1996; Lie and Petropoulos 1998). In an expression profile screening assay, microarrays and real-time PCR have been estimated to give similar results for large differences of at least tenfold in expression levels (Iyer et al. 1999). For expression differences of twofold or less, the microarray system would not have enough resolution (Iyer et al. 1999). Microarrays will probably be used for semi-quantitative large screenings to search for genes differentially expressed, while real-time PCR will help in the accurate quantification of relative mRNA expression levels

Real-time PCR methodology is based on the use of gene-specific primers, Taq DNA polymerase and a nonextendible oligonucleotide hybridization probe blocked at the 3′ terminus by a phosphate group. The probe contains a fluorescent reporter covalently linked to the 5′ end and a quencher dye, also covalently linked, but to the 3′ end. The two dyes separate from each other by the nucleolytic activity of the DNA polymerase during the extension phase of the PCR cycle. When the probe is degraded the reporter dye is released and the emission intensity increases. The fluorescence signal correlates to the amount of cDNA (or DNA) in the sample, and the signal is monitored in realtime during the PCR amplification (Gibson et al. 1996; Heid et al. 1996; Lie and Petropoulos 1998).

Real-time PCR approaches can be used to detect 1.5-fold differences in mRNA expression levels of genes, but a big problem is the sample variability in postmortem tissues. In this study we present a statistical approach to dissect the variability of expression data and to allow the detection of small (≤ twofold) differences in gene expression levels between two groups of samples, e.g., patients and controls. We have used this methodology to evaluate differences in mRNA expression levels between sexes and between groups of different time postmortem, as well as between cortical brain biopsies and autopsies. Furthermore, we have evaluated between-individual variability in mRNA levels of 14 genes, adjusted with beta-actin (ACTB) and glyceraldehyde-3-phosphate dehydrogenase (GAPD), to calculate the number of sick and healthy individuals needed to detect minute differences in mRNA expression between two groups.

Sixteen genes were included in this study. Reference genes were ACTB and GAPD. Genes tested were neuronal cell markers (MAP2), and neuron specific enolase (NSE). Other genes included endothelial nitric oxide synthase (NOS), a glial cell marker (GFAP), and cyclosporin binding protein, cyclophilin D (CYPD). Moreover, four serotonin receptors (5-HT-1E, 1F, 2A and 5A), two dopamine receptors (D1 and D5) and three members of the cytochrome P-450 gene families (CYP26A1, CYP1A1 and CYP2C8) were tested. The receptors, as well as the cytochrome P-450 genes, were selected because they are suggested to be involved in physiological and/or pharmacological processes in the human brain as well in mental disorders (Fang and Gorrod 1999; Leonard 1996; Lieberman et al. 1998; McFayden et al. 1998; Meador-Woodruff 1994; Roth et al. 1998; Trofimova-Griffin and Juchau 1998).

RESULTS

Normalizing mRNA Levels of Genes

Three autopsy (or biopsy) samples were extracted from each individual and processed in parallel, as described in the Methods section, to prepare multiple identical replica plates (Fig.1). Each identical replica plate was used to measure the amounts of cDNA copies amplified for one gene. The amount of cDNA copies is correlated to the amounts of mRNA in each sample (Gibson et al. 1996). Figure 2A shows that there was a correlation coefficient of 0.99 when the mRNA levels of ACTB were measured twice in 81 samples, indicating that the reproducibility of the assay was ∼ 99%. For a gene with lower expression levels (such as D5) the reproducibility of the assay was slightly less, i.e., 97% (Fig. 2C). The figure also shows that the postmortem brain samples showed up to 2 orders of magnitude differences in measured mRNA levels (on a logarithmic scale). To normalize for these differences, we used the correlation between the measured mRNA levels of genes of interest to reference genes. Figure 2B shows that the correlation between the measured mRNA levels of ACTB and GAPD in the 81 samples analyzed was 96%, suggesting that ACTB and GAPD mRNA expression levels are well correlated in brain tissue. Therefore, we decided to use both genes as reference genes in ANCOVA analysis. MAP2 also showed a good correlation with ACTB (0.92, not shown), indicating that the between-individual differences as well as sample variation for this gene are also low. Other genes showed large between-individual differences in measured mRNA levels, e.g., D5, which is reflected in a lower correlation of D5 mRNA levels to reference mRNA levels (Fig. 2D). The ability of our assay to detect differences in gene expression was dependent on between-individual variability (see power calculations below). The regression plots for all the genes are available at our website (see http://www.genpat.uu.se/psge/psgecastensson.html).

Figure 1.

Experimental strategy. Three brain autopsies (or biopsies) were extracted from each individual. These triplicates were analyzed and processed in parallel. PolyA + RNA prepared from brain was reverse transcribed and cDNA was quantified using a real-time PCR method in which a labeled probe is degraded during PCR by Taq polymerase exonuclease activity.

Figure 2.

Correlation studies. Identical replica plates containing 81 cDNA samples obtained from brain. The samples were extracted in triplicate from 27 individuals. The replica plates were used to measure twice the expression of ACTB (A) or D5 (C). Two reference genes (ACTB and GAPD) show a correlation of 96% (B). A gene with high between-individual variability (D5) showed a low correlation to actin expression levels (D). Axes show logarithm of measured number of cDNA copies.

Differences in mRNA Levels Between the Sexes, Age at Death, and Time Postmortem Intervals for the Collection of Brain Tissue Samples

Differences between sexes, age at death, and postmortem time were evaluated by comparing the mean values of each group statistically in ANCOVA analysis. Eighty-one autopsy samples obtained from 27 individuals were used for this analysis. Table 1 shows resulting P-values and mean mRNA level of each group after adjusting with the mRNA levels of the reference genes. We divided the samples in two groups with approximately the same number of samples each. These two groups had significantly different time postmortem; the first group had a mean of 34 ± 10 hr and the second group a mean of 73 ± 17 hr postmortem. Only CYP26A1 showed a significant decrease in adjusted mRNA levels in samples taken after prolonged time postmortem (Table 1A). A significant difference between males and females was obtained for 5-HT-1E, with a 40% decrease for males (Table1B). When the samples were separated in two groups according to age at death, CYP1A1 showed a significant decrease for older age (Table 1C). The first group had a mean of 53 ± 17 years and the second group a mean of 79 ± 7 years old at the time of death. Figure 3shows scatter plots and regression lines for the significant comparisons described in Table 1. It can be seen that the regression lines are quite parallel for the pairs studied. The analysis of CYPD and GFAP did not reveal parallel lines in the groups studied, probably indicating a high variability in expression levels. Therefore,P-values were not determined (described as “n.d.” in Table 1).

Table 1.

Effect of Time Postmortem, Sex, or Age at Death on Expression Levels (A) Time Postmortem

Figure 3.

Significant differences in relative expression levels for sex, age, and time postmortem. ANCOVA analysis compare means of measured cDNA copies adjusted with the number of cDNA copies for ACTB and GAPD. Significant differences found in the analysis of 5-HT-1E, CYP26A1, and CYP1A1, as shown in Table 1, are visualized in the differences between the regression lines of the two groups compared. Axes show logarithm of measured number of cDNA copies.

Differences in mRNA Levels for Autopsies and Biopsies

Forty-two new autopsies (14 individuals) were selected at random from our autopsy banks and compared to 39 biopsies obtained from 13 individuals. Autopsies showed a general decrease in mRNA levels compared to biopsies for all genes (see Fig. 4, black boxes compared to white boxes). ANCOVA analysis was used to compare the mean expression values between autopsies and biopsies after adjusting the means for each gene with the expression values of the reference genes ACTB and GAPD. ANCOVA analysis yielded a significantP-value for a gene only when the difference in expression levels between autopsies and biopsies for the test gene was significantly larger or smaller than the difference in reference genes. The right panel of Figure 4 shows the P-values after ANCOVA analysis. Surprisingly, after correction for the number of independent tests performed, there were no significant differences in expression levels of the 14 genes between autopsies and biopsies. Therefore, the pattern for mRNA expression levels seems to be similar in biopsies and autopsies. The raw data for the biopsies and autopsies can be found at our web site (see http://www.genpat.uu.se/psge/psgecastensson.html).

Figure 4.

Comparison of expression levels between human brain autopsies and biopsies. Absolute expression levels are decreased in autopsies compared to biopsies; however, the differences between the two groups were not significant (no P-value <0.0005) after adjustment with reference genes. The level of significance was selected after a Bonferroni correction for 100 independent tests performed. The boxes show the interval between − 1 and + 1 standard error, and the whiskers show 95% confidence interval. Axes show logarithm of measured number of cDNA copies. The gray line separates two sets of genes measured with two different sets of replica plates.

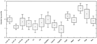
Variability Among Individuals in the Expression Levels of Genes

The adjusted means of cDNA levels for 27 individuals were determined for all 14 genes adjusted with ACTB and GAPD in ANCOVA analysis. The same 81 autopsy samples that were used for the sexes, age at death, and time postmortem comparisons were used in this analysis. Figure 5shows the average, standard deviation, and 95% confidence interval for the adjusted expression values for all individuals. The expression values for each individual can be found at our web site (see http://www.genpat.uu.se/psge/psgecastensson.html).

Figure 5.

Distribution of adjusted expression levels in individuals. The expression values (number of cDNA copies amplified) for the 3 samples extracted from each individual were used to calculate adjusted means for each individual as described in the Methods section. The boxes show standard deviations, the dots indicate the means for each gene, and whiskers mark the 95% confidence intervals. Mean (log) expression levels of each individual have been adjusted with reference genes ACTB and GAPD. The adjusted values of expression for each individual and each gene are available at our website (seehttp://www.genpat.uu.se/psge/psgecastensson.html).

Genes belonging to the same family could show low (5-HT1F) or high (5-HT-2A) between-individual variability in expression levels. The lower the variability of a gene expression level, the smaller the sample size required to detect differences in mRNA levels between two groups (see power calculations below).

Power Calculations

We performed a power analysis based on the between-individual variability in adjusted means of cDNA copies to calculate the number of individuals necessary to perform differential expression screenings for the genes studied. Basically, the higher the variability between individuals, the larger the standard deviation. This results in a larger number of individuals required to significantly detect a given difference between two groups. The data used for the power calculations were the adjusted mean expression levels for 27 individuals. A gene with low between-individual variability such as 5-HT-1F (note the narrow box and whiskers in Fig. 5) would require ∼9 individuals in each group in order to detect a twofold difference (Table2). Conversely, a gene with high between-individual variability such as 5-HT-2A (note the wide box and whiskers in Fig. 5) would require at least 50 individuals in each group for the detection of a twofold change. A total of 14 genes, adjusted with GAPD and ACTB were included in this analysis, resulting in sample sizes ranging from ten to 60 individuals per group to allow the detection of a twofold difference. Sample size calculations indicated that a larger sample size should be used in our own analysis of differences between males and females, different age groups, different time postmortem groups, and biopsies and autopsies. Our detection of significant differences with only 13 individuals per group does not contradict our sample size calculations. These significant results should be regarded cautiously, as they might be due to individuals with extreme values. Analysis done with about 10 individuals per group would result in an average resolution of ∼fivefold changes for these genes.

Table 2.

Required Sample Size to Detect a 1.5- to 10-fold Difference in mRNA Expression Levels Between Two Groups

DISCUSSION

The main goal of this study was to find a strategy to accurately measure differences of ⋜ twofold or less in mRNA levels of genes in the human brain. We have shown that the correlation between the mRNA levels of multiple genes can be used to detect small differences in mRNA expression levels in two groups of samples using a 5′ nuclease assay and an ANCOVA analysis.

To test the resolution of our strategy, we divided the samples in two groups to study the effect of time postmortem, sex differences, and age at death on mRNA expression levels. The CYP26A1 gene showed a significant decrease in adjusted mRNA levels with prolonged times postmortem. Conversely, mRNA in general seems to be degraded similarly for all other genes, as most of the genes did not show significant differences in expression levels between average times postmortem of 34 and 73 hr. This conclusion is supported by earlier studies (Gilmoreet al. 1993, Mathern et al. 1997; Morrison and Griffin 1981, Perrett et al. 1988).

The comparison of the adjusted mRNA levels of males versus females revealed a significant decrease in males for the mRNA of the 5-HT-1E gene. The regression lines showed good parallelism between females and males. Also, the between-individual variability for this gene was low; therefore, the sample size was appropriate to detect a 50% difference for this gene according to our power calculations. Nevertheless, the difference in average mRNA values for the two sexes was small (∼ 60%) and the sample size in our study was small (27 individuals, 81 brain autopsies). Therefore, we can't exclude the possibility that the differences are due to a few individuals with extreme values. These preliminary results should be replicated in larger sample sets. As in the case of the differences for the two age groups, the significant decrease of CYP1A1 with age above 70 should be considered cautiously since the number of individuals is small. Moreover, the two age groups were not significantly separated. The mean age at death was 53 ± 17 for the first group and 79 ± 7 for the second group.

The comparison of mRNA levels of autopsies and biopsies revealed that the general pattern of gene mRNA levels seemed to be very similar in both groups (Fig. 4). This result suggests that mRNA levels measured in brain autopsy samples can provide clues about the brain in vivo.

A general decrease of measured mRNA levels in autopsies compared to biopsies was seen, which might be due to a shutdown of mRNA production at death. A decrease in mRNA levels in autopsies was also noticed in an earlier study performed in rats (Mathern et al. 1997). Nevertheless, as indicated above, the mRNA levels of genes, relative to reference genes, seem to be preserved. Few studies have measured mRNA levels of several brain biopsies (Kerfoot et al. 1996; Mathern et al. 1997;Stoffel-Wagner et al. 1998, 1999). Moreover, a comparison of mRNA expression levels in human brain autopsies versus biopsies has not previously been done.

Numerous differential expression studies have been performed over the years to select genes responsible for psychiatric conditions. For example, in the last year several genes have been proposed to be differentially expressed in patients with Alzheimer's disease (Heffernan et al. 1998; Hellstrom-Lindahl et al. 1999; Hock et al. 1998; Pasinetti and Aisen 1998; Terzano et al. 1998; Wevers et al. 1999), schizophrenia (Eastwood and Harrison 1998; Harrison and Eastwood 1998; Impagnatiello et al. 1998; Ohnuma et al. 1998; Sokolov 1998), and Parkinson's disease (Benisty et al. 1998; Meoni et al. 1999), as well as in alcoholics (Fan et al. 1999; Mitsuyama et al. 1998), and depressed suicides (Hrdina et al. 1998). Nevertheless, the sample sizes were small, the approaches were semi-quantitative, and the sensitivity was low. The power calculations presented here indicate that a sample size of at least 50 individuals in each group should be used to find, with high resolution (⋜ twofold), genes differently expressed in patients and controls. Sample sizes of about ten individuals per group would, in most cases, only allow the detection of differences of ⩾ fivefold. The advantages of the strategy presented here are the potential for high sample throughput, high accuracy, and the ability to detect small expression differences.

In conclusion, the real-time PCR strategy developed in this study can be used to quantify ⋜ twofold differences in mRNA expression levels of genes, with a confidence of 95% and a power of 95% in two groups of individuals.

METHODS

Tissue Samples

Brain autopsies were provided by the Stanley Foundation Brain Consortium (Maryland, USA), by the Maudsley Brain Bank (Institute of Psychiatry, Dept. of Neuropathology, London, UK), and by the Harvard Brain Tissue Resource Center (Massachusetts General Hospital, Massachusetts, USA). Each autopsy sample was provided in triplicates, which were taken from three adjacent segments of the frontal cortex (frontal gyrus). Eighty-one autopsies obtained from twenty-seven individuals were used for analyses of sex, time postmortem, and age differences, as well as for power calculations. All samples used were from individuals without any psychiatric diagnosis.

For the analyses of biopsies versus autopsies, 39 autopsies obtained from 13 individuals, and biopsies obtained from 14 individuals were used. Biopsies were prepared in triplicate after Trizol step (see methods below) to yield 42 samples. Biopsies obtained from cortical brain tissue from patients with epilepsy or brain tumors were donated to Addenbrookes hospital (Cambridge, UK). A cube of ∼ 3 mm on each side was dissected from each biopsy and RNA was prepared as described below. The samples were coded and information about sex, age, and disease state for each patient was withheld from the investigators to ensure confidentiality. For this reason, the biopsy material was only used for the comparisons of biopsy and autopsy expression levels. The rest of the analyses were performed using only autopsy material. All tissues were stored at –70°C prior to use.

Preparation of Tissue Samples

We homogenized 50–100 mg of postmortem brain tissue in 2 ml of Trizol reagent (Life Technologies, Sweden) using an Ultra-Turrax T25 basic homogenizer (Ika Labortecnhik, Germany). The homogenized samples were stored at − 70°C prior to use.

Total RNA Preparation and PolyA + RNA purification

Total RNA was prepared from the tissue homogenates according to the manufactures instruction for RNA isolation using Trizol reagent (Life Technologies, Sweden) with these minor modifications: the RNA pellet produced was washed with 1 mL 70% ethanol instead of 75% ethanol and the RNA pellet was vacuum dried for 1–2 min before it was dissolved in 20 μL RNase free-water and incubated for 10 min at 60°C in a water bath. The purity and the quality of the total RNA was assayed in a 1% agarose gel and the recovery was calculated after measuring absorbance with a spectrophotometer at 260 nm. Samples were then stored at − 70°C prior to further use. PolyA + RNA was extracted from the total RNA preparation by a modification of the PolyATtract mRNA isolation system IV (Promega SDS, Sweden). The starting material was 10 μg of total RNA and we used ten times less than the recommended reagent amounts in all steps. The final volume of mRNA was 25 μL and the samples were stored at − 70 °C.

Reverse Transcription

Two types of 96-well replica plates were prepared with 2 μL or 8 μL PolyA + RNA per well, one plate containing 81 autopsy samples and another containing 42 autopsy samples as well as 39 biopsy samples. To the wells, 2 μL oligo(dT) were added and RNase-free water to a total volume of 10 μL. The plate was incubated for 2 min at 90°C in a PTC 225 (MJ Research SDS). During this time the oligo(dT) probe annealed to the mRNA. After the annealing step, transcriptase master mix was added. The transcriptase master mix for each sample contained 4 μL first strand buffer, 2 μL DTT, 0.5 μL dNTP (10 mM), 1.5 μL water, 1 μL Superscript II (Life Technologies, Sweden). The samples were incubated in the same PTC 225, for 1 hr at 42°C. After the reverse transcription all the samples were diluted 1:8 with sterile water. Included in the RT-plate, now containing diluted cDNA, were a standard, several Negative Amplification Controls (NAC) containing polyA +, and all the reagents except reverse transcriptase. The standard curve was prepared from human genomic DNA with a concentration of 10 ng/μL, 1 ng/μL, 0.1 ng/μL, and 0.01 ng/μL equivalent to 11,000, 1100, 110, and 11 copies of human genome. NAC functioned as a background control and contained cDNA and all reagents except Superscript II. A second negative control, Negative Template Control (NTC), was used in the TaqMan reaction; this control contained no DNA but all TaqMan reagents. After the standard and the negative controls had been added to the RT-plate, plate contents were aliquoted into 40 TaqMan optical plates, producing replica plates to use in TaqMan assay later. Each replica plate contains ∼ 10–100 ng of cDNA per well, and one replica plate is used to test each gene. All plates were finally dried in a 42°C oven for ∼ 1 hr and then stored at 4°C prior to use.

The Fluorogenic 5′ Nuclease Assay

To each cDNA well in the TaqMan optical plate, 25 μL TaqMan master mix were added. Each sample of the TaqMan master mix consisted of 12.6 μL sterile water, 2.5 μL 10X TaqMan buffer, 6.0 μL MgCl2, 2.0 μL dNTP (5 mM of dUTP and 2.5 mM of dATP, dGTP, and dCTP), 0.5 μL Primer forward (10 μM), 0.5 μL Primer reverse (10 μM), 0.5 μL probe (5 μM), 0.25μL uracil-N-glycosylase (UNG), and 0.125 μL Taq gold (TaqMan PCR core reagent kit, Perkin Elmer). The amplification profile in the ABI Prism 7700 sequence detector (Perkin Elmer) was as follows: 2 min at 50°C, 10 min at 95°C, followed by 40 cycles of 15 seconds at 95°C, and 1 min at 60°C. The software Primer Express (Perkin-Elmer Applied Biosystems) was used to design primers and probes. Primers were purchased from Perkin Elmer or Interactiva and probes from Perkin Elmer. The sequences of the 48 primers that can be used to measure the expression of the 16 genes discussed in this manuscript are available at our web site (seehttp://www.genpat.uu.se/psge/psgecastensson.html). The expression data produced were analyzed and converted into threshold cycle values (Ct-values) by the Sequence detector 1.6.3. software system. The Ct-values were calculated from an amplification plot, which gives the cycle wherein each PCR amplification reaches a significant standard deviation of the threshold. The higher the target concentration is, the lower the number of amplification cycles needed to detect the rise in reporter emission. The Ct-values were then translated into number of copies using the standard curve.

Statistical Analysis

To determine differences in expression between sexes, time postmortem, and individuals, the software Statistica from Statsoft was used for ANCOVA analysis. In general, the purpose of analysis of variance (ANOVA) is to test for significant differences between means. An analysis of covariance (ANCOVA) is a type of ANOVA analysis used for comparison of the means between two or more groups of subjects while controlling for confounding variables (covariables) that might influence the response of the dependent variable. The group means compared in ANCOVA are adjusted with the group means for the covariables (Gaddis 1998, Lee 1987, Statsoft 1999). This analysis reduces a large part of the variability between samples due to different amounts of RNA in each sample.

Because of the large variability in the quality of postmortem tissue samples, we first studied the linear correlation between a test gene (variable) and multiple reference genes (covariables). We used ANCOVA analysis to compare the adjusted means of two groups of samples. All the expression data used in our analysis was skewed and therefore required logarithmic transformation before the analysis. One of the assumptions of ANOVA is to have a normally distributed sample. We therefore used the logarithm of the measured number of amplified cDNA copies in all the analyses. The null hypothesis in ANCOVA analysis is that there is no significant difference between the compared groups. The null hypothesis is accepted or rejected depending on whether or not there is a significant difference between the adjusted means. We performed ∼ 100 independent statistical tests, and therefore, accepted a Bonferroni corrected P-value of ⋜ 0.0005 as significant (Zhang et al. 1997). Power calculations were performed using the software package Power XXA from Statsoft. We used the adjusted means for each individual obtained after ANCOVA analysis to calculate the adjusted mean and standard deviation of the complete data set for each gene. These parameters were then used to determine the sample size required for each gene using the Power XXA package.

ACKNOWLEDGMENTS

Postmortem brain samples were donated by the Stanley Foundation Brain Consortium (Maryland, USA) courtesy of Llewellyn B. Bigelow, Juraj Cervenak, Mary M. Herman, Thomas M. Hyde, Joel E. Kleinman, José D. Paltán, Robert M. Post, E. Fuller Torrey, Maree J. Webster, and Robert H. Yolken; by the Maudsley Brain Bank, Institute of Psychiatry, Dept. of Neuropathology, London, UK; by the Harvard Brain Tissue Resource Center, Massachusetts General Hospital, Massachusetts, USA. Biopsies were donated to the Addenbrookes hospital, Cambridge, UK. We thank Dr. Ulf Pettersson and Dr. Ulf Landegren for reading and discussing the manuscript. We thank Brian Bond, Smith Kline Beecham, for statistical advice. Grants from Swedish Medical Research Council, the Göran Gustafssons Foundation, and the Beijer Foundation supported this work.

The publication costs of this article were defrayed in part by payment of page charges. This article must therefore be hereby marked “advertisement” in accordance with 18 USC section 1734 solely to indicate this fact.

Footnotes

  • 3 Corresponding author.

  • E-MAIL elena.jazin{at}genpat.uu.se; FAX 46–18–471 48 08.

    • Received October 4, 1999.
    • Accepted May 18, 2000.

REFERENCES

| Table of Contents

Preprint Server