
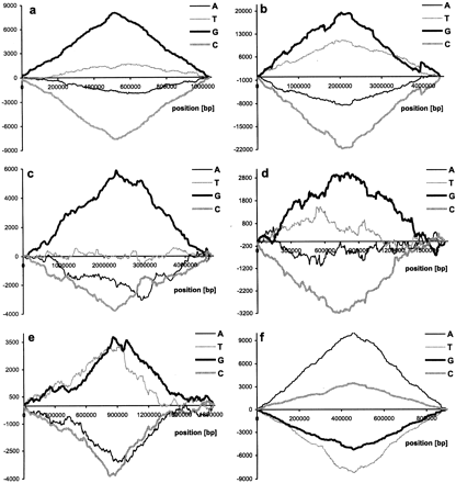
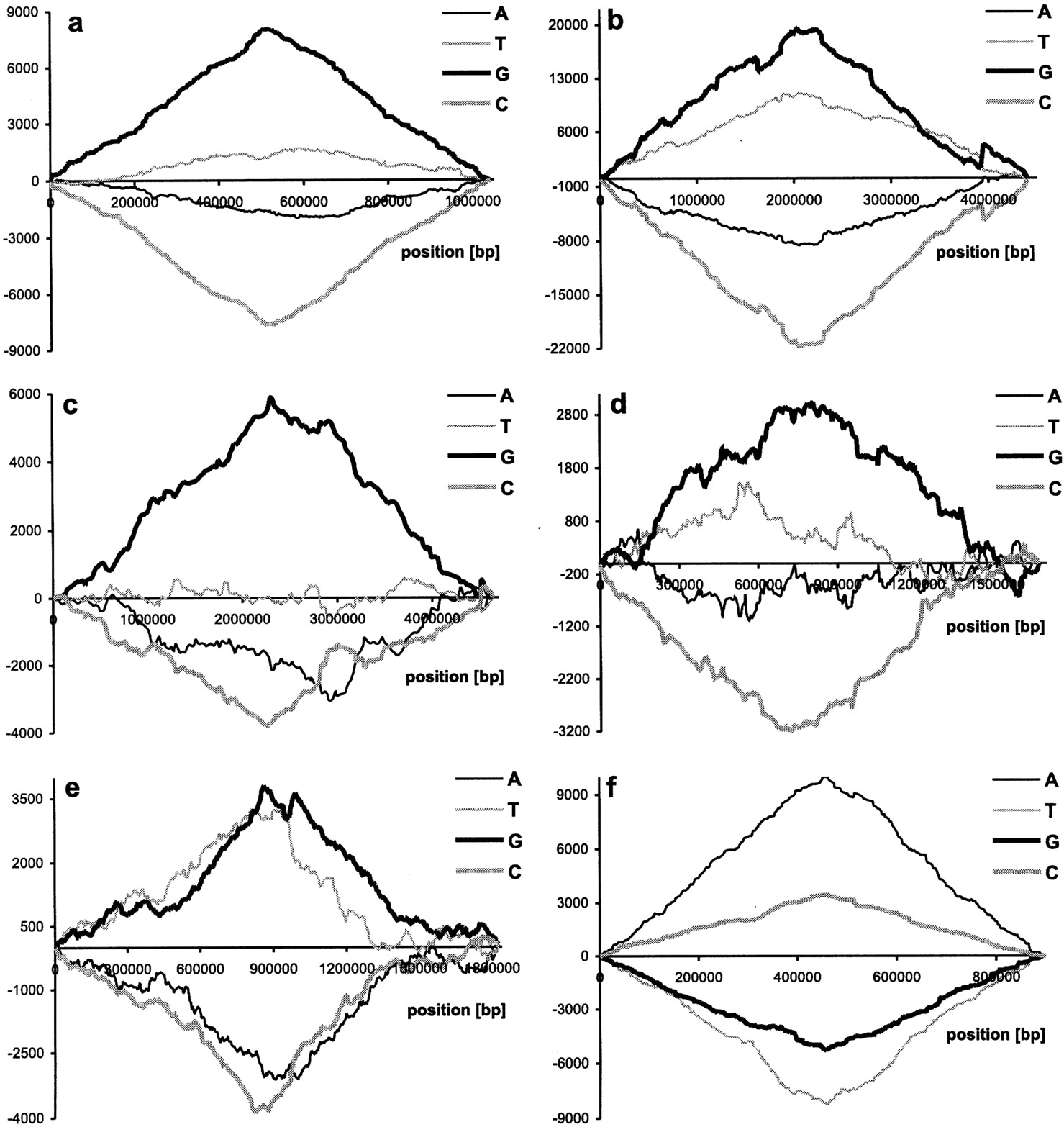
The result of subtraction of the DNA walk on strand C from the DNA walk on strand W for ORFs longer than 150 codons for the genomes ofChlamydia trachomatis (a); Mycobacterium tuberculosis (b); Escherichia coli (c);Helicobacter pylori (d); Haemophilus influenzae (e); and Borrelia burgdorferi(f). In all plots but f the terminus of replication is in the center of the x-axis. In the plot representing theB. burgdorferi genome, the origin of replication is in the center of the diagram.











