
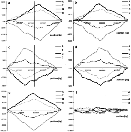
Detrended DNA walks on T. pallidum ORFs longer than 150 codons. (a) All ORFs of the W strand were spliced, and the walks were performed in the scale of the new sequence (x-axis). The vertical line indicates the middle of the analyzed sequence; numbers on the y-axis indicate the relative cumulative abundance of the nucleotide (see Methods). (b) The same walks but the scale of the x-axis shows the position of ORFs on the chromosome. (c,d) The same kinds of walks done on the C strand. (e) The result of subtraction of walks presented on b and d. (f) The results of the addition of walks presented in b and d. The terminus of replication is at the extrema of the diagrams.











