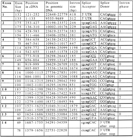
Table 1.
Human and Mouse Gene Structure Information
|
|
-
Numbering of exon 1 begins from the translation start site (A of ATG start codon is position 1). Numbering of exon 14 ends at the stop codon. Nucleotide residues in the cDNA and genomic sequences refer to GenBank accession nos. Z97990 and HSAJ9610 for hAIRE and accession nos. AJ132243 and AF073307 for mouse Aire. Thetop and bottom lines for each exon refer to the human and mouse gene, respectively.











