
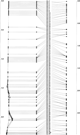
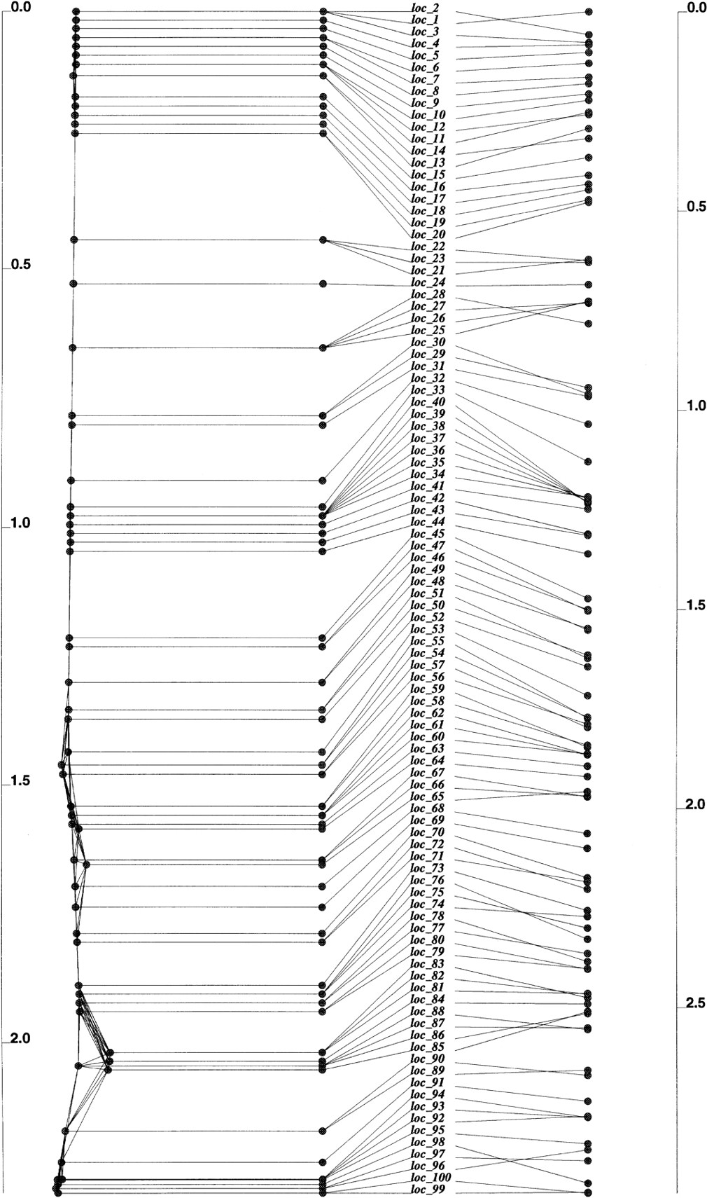
Figure 4.
Map constructed from the distances in Fig. 3. The optimal order is to the left of the names, the two-dimensional configuration at the extreme left, and the original (known) positions at theright.











