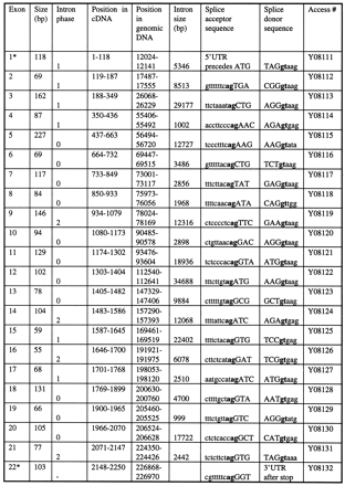
Table 1.
PEX Gene Structure Information
| Exon | Size (bp) | Intron phase | Position in cDNA | Position in genomic DNA | Intron size (bp) | Splice acceptor sequence | Splice donor sequence | Access # |
|
-
(*) Numbering of exon 1 begins from translation start site (A of ATG start codon is position 1). Numbering of exon 22 ends at the stop codon. The exon locations in the cDNA sequence are based on sequence corresponding to GenBank accession no. U60475.











