
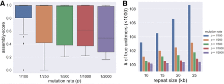
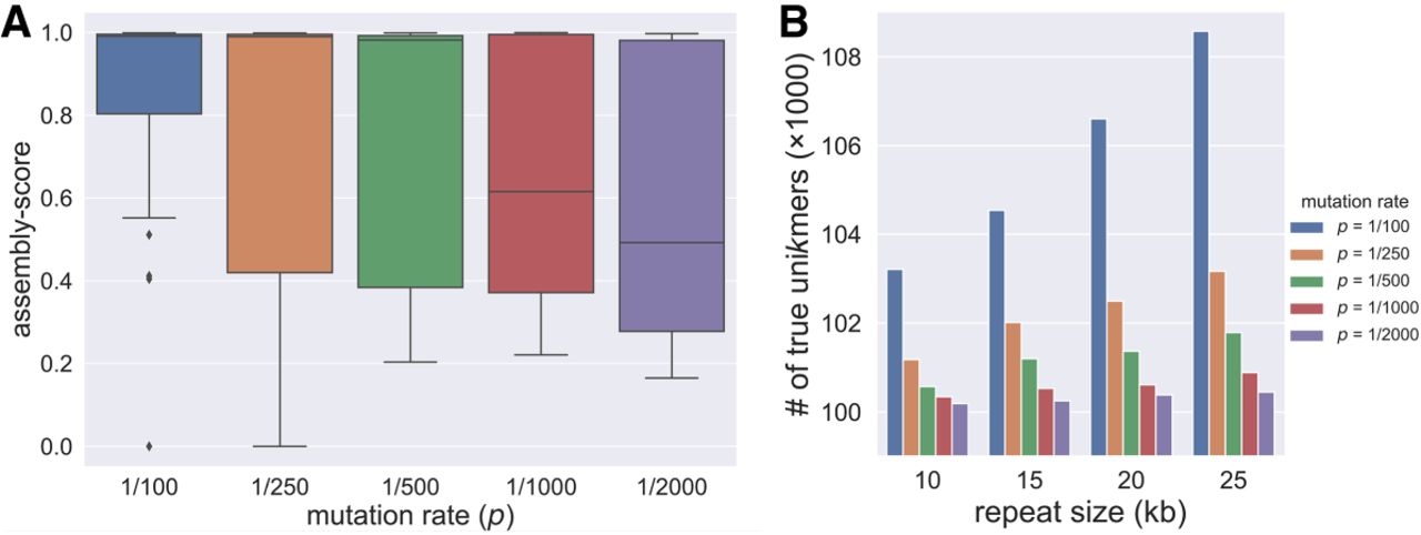
Figure 3.
Relationship among RAmbler's performance, mutation rate P, and number of true unikmers. (A) Performance of RAmbler for several choices of the mutation rate P over 27 different combinations of repetitive regions with repeat sizes {10, 15, 20} kb, number of copies {2, 5, 10}, coverage depth = {20×,30×,40×}. (B) Number of true unikmers as a function of mutation rate and repeat unit's sizes (five copies).











