
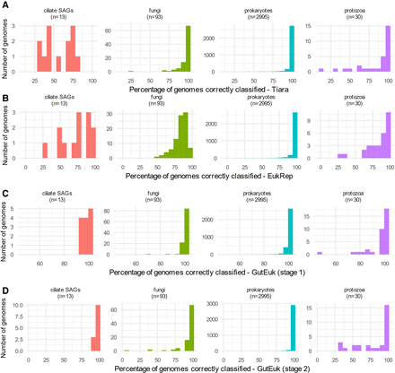
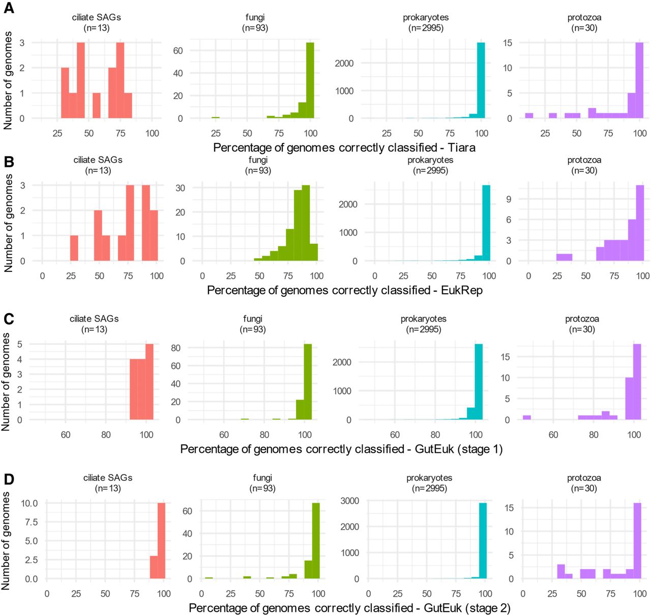
Figure 3.
Benchmarking the performance of GutEuk, EukRep, and Tiara with genomic bins. The percentage of genomes being correctly classified as prokaryotic or eukaryotic by Tiara (A), EukRep (B), and GutEuk (C). The percentage of genomes being correctly classified as prokaryotic, protozoal, or fungal by GutEuk (D).











