
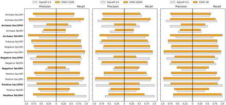
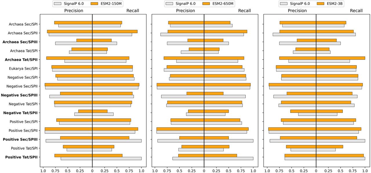
Figure 2.
Results of PEFT-SP using LoRA and SignalP 6.0 in precision and recall for CS prediction across different organisms. The precision and recall were calculated within a tolerance window size of 0. The bold text in the x-axis represents the SP type with small training samples.











