
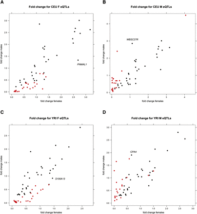
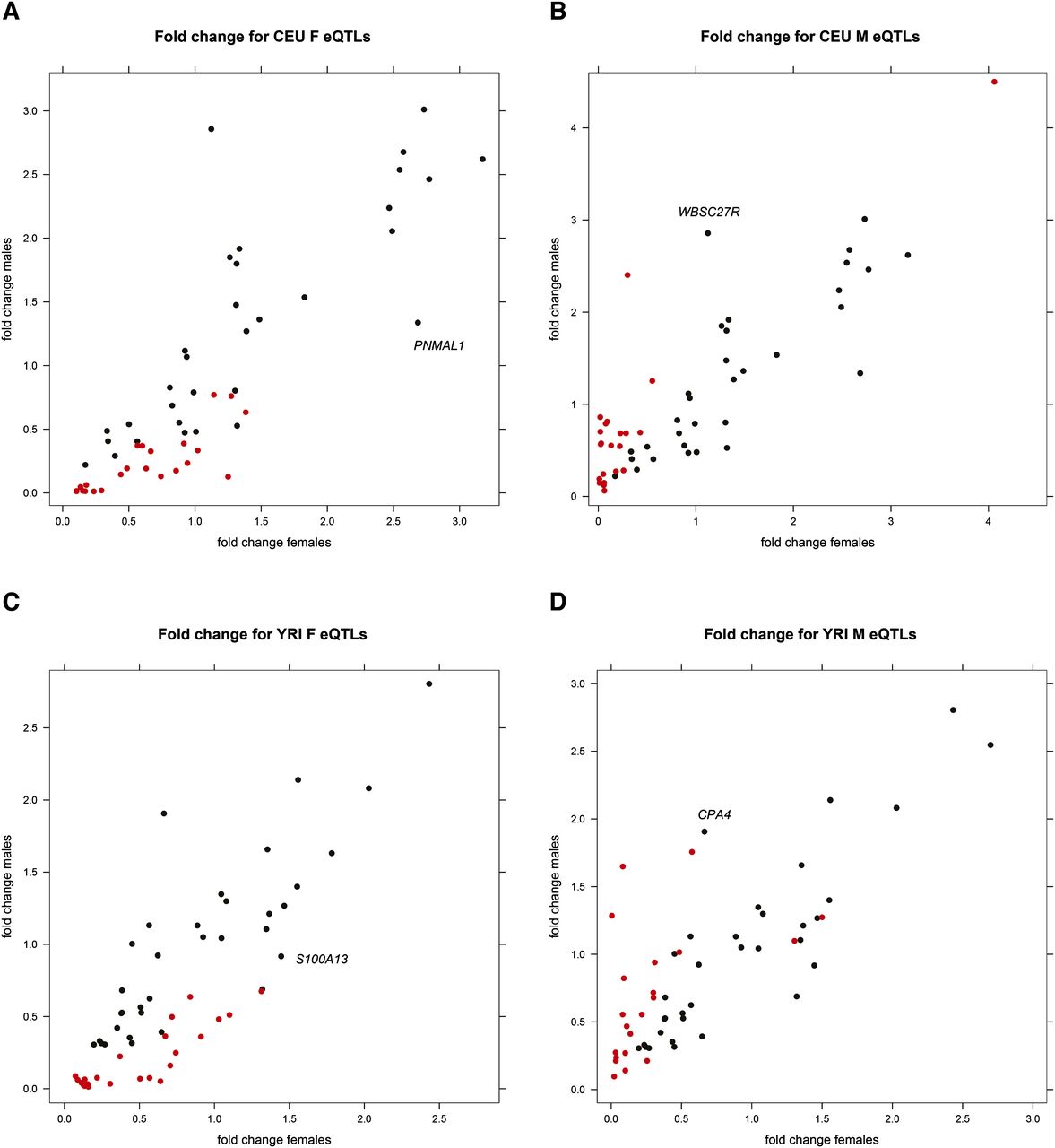
Expression fold change between major and minor allele homozygotes for shared and sex-biased eQTLs. Sex-biased eQTLs exert greater expression fold change in the discovery sex. Expression fold change in females (x-axis) and males (y-axis) for 65 SNP-expression probes in CEU females (A) and for 59 SNP-expression probes in CEU males (B). Although sex-biased eQTLs exert greater fold change differences in the discovery sex, there are cases of shared eQTLs that also display prominent fold change differences between females and males, e.g., (A) PNMAL1 (fold change: CEU F 2.7; CEU M 1.3), (B) WBSCR27 (fold change: CEU F 1.1; CEU M 2.9). Expression fold change in females and males for 62 SNP-expression probes in YRI females (C) and for 62 SNP-expression probes in YRI males (D). Cases of shared eQTLs that display prominent fold change differences between females and males include: (C) S100A13 (fold change: YRI F 1.4; YRI M 0.9), (D) CPA4 (fold change: YRI F 0.7; YRI M 1.9). (Black) Shared eQTLs; (red) sex-biased eQTLs.











