
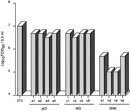
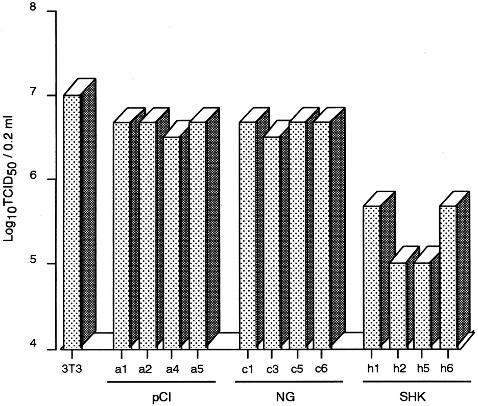
The infectivity of influenza virus H5N1 in Mx cDNA-transfected 3T3 cell clones. 3T3, parental 3T3 cells; pCI (a1, 2, 4, and 5), 3T3 cells transfected with pCI-neo; NG (c1, 3, 5, and 6), transfected 3T3 cells expressing NG Mx mRNA; and SHK (h1, 2, 5, and 6), transfected 3T3 cells expressing SHK Mx mRNA. Clones a1, a2, c1, c3, h1, and h2 correspond to the designations in Figure 2. Viral titers were determined by the 50% tissue culture infective dose (TCID50) method at 48 h postinfection.











