
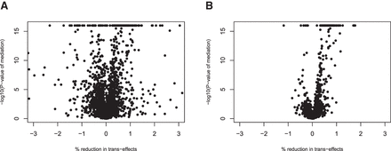
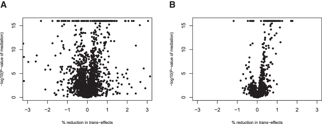
Plots of negative log base 10 of mediation P-values versus the percentages of reduction in trans-effects after accounting for cis-mediation. The P-values are calculated based on (A) mediation tests without adjusting for hidden confounders, and (B) mediation tests by GMAC considering all PCs as potential confounders. P-values are truncated at 10−16. The plots are based on the results from the adipose subcutaneous tissue. The percentage of reduction in trans-effects is calculated by (β2m − β2)/β2m × 100%, where β2m is the marginal trans-effect of the eQTL on the trans-gene expression levels, and β2 is the trans-effect after adjusting for a potential cis-mediator and other covariates. For trios with true cis-mediations, the marginal trans-effects are nonzero, and after adjusting for the true cis-mediators, we expect the adjusted trans-effects β2 to be substantially reduced; that is, we expect the trios with very significant mediation P-values to have positive percent reduction in trans-effects. For results based on no adjustment of hidden confounders (A), we observed many trios with significant mediation P-values but the percentages of reduction in trans-effects are negative. At the 0.05 P-value threshold, 712 (21.4%) and 188 (5.6%) out of 3332 trios have P-values below the threshold and percent reduction in trans-effects being negative in A and B, respectively.











