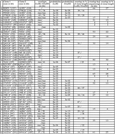
Summary of Clone Sizes and Overlap for All Clones Analyzed by Fingerprinting
|
|
-
Clone sizes (kb) indicated in brackets were generally estimated by PFGE, or by the mean FPC value form EcoRI andHindIII patterns(1) by the FPC value fromEcoRI pattern(2) or from genomic sequencing(3). Overlaps (in kb) between clones estimated by FPC after EcoRI or HindIII digestion are shown with the corresponding probability value: (nso) no significant overlap; (/) no FPC data available. When available, overlaps calculated from genomic sequence are given (in kb). Clone to clone overlaps were also calculated in percent of the actual length spanned by a given pair of clones. Cosmids are prefixed with a Q and BACs with a B. The sequenced clones are indicated with an x in the first column. Sequences are available at a http://genome.imb-jena.de (Note: cosmids are displayed in 384-well format on this server; Q73F12 = 19K23, Q41G8 = M1511, Q7G4 = 2N7, Q82G10 = 21M20, and Q78B7-20C22) or atb http://seq.mpimg-berlin-dahlem.mpg.de (identical names).











