
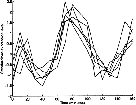
Figure 1.
Expression levels of the six members of the MCM protein complex: MCM2, MCM3, MCM6, CDC46, CDC47, and CDC54. The data have been standardized by subtracting the mean and dividing by the standard deviation.











