
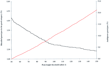
The peak height of allele 1 (smaller fragment) is used to categorize allele calls as ambiguous. The graph shows how the size of the ambiguous category (red line) increases and how the number of miscalls (black line) that are not listed as ambiguous, decreases as the peak height threshold for the ambiguous category goes from 50 to 150. At peak height threshold 100, the ambiguous category is ∼10% of the total number of genotypes, and the decrease in miscalls in the good category levels off. We therefore use peak height threshold 100 for the ambiguous category.











