
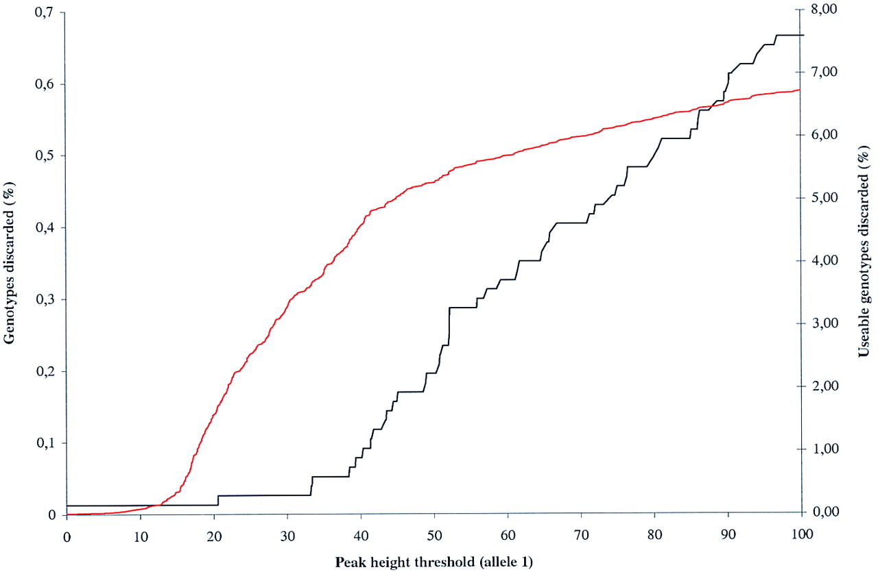
The peak height of allele 1 (smaller fragment) is used to categorize allele calls as bad calls that are automatically discarded. The graph shows percent increase in the total number of discarded genotypes (red line) and the number of usable genotypes that are discarded (black line) increases as the height threshold goes from 0 to 100. Based on this graph the height threshold for the bad category was set at 50, where the number of discarded genotypes decreases and the fraction of usable genotypes that are discarded is ∼0.3% of the total number of genotypes.











