
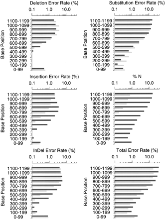
Figure 3.
Phred (gray bars) and ABI (black bars) error rates for dye primer data in cosmid set 3.
(Downloading may take up to 30 seconds. If the slide opens in your browser, select File -> Save As to save it.)
Click on image to view larger version.