
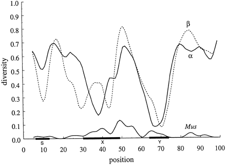
(Top two curves) Diversity of promoter sequences in distantly related class II genes over 6 sequences (104 bases in length) from 3 species (α chain) and 7 sequences (103 bases in length) from 4 species (β chain) (see Methods). The diversity is represented by a moving average computed with a Gaussian kernel 2 nucleotides wide. (Bottom curve) Moving average over Mus promoters (repeated from curve in Fig. 1).











