
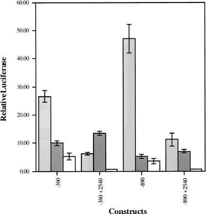
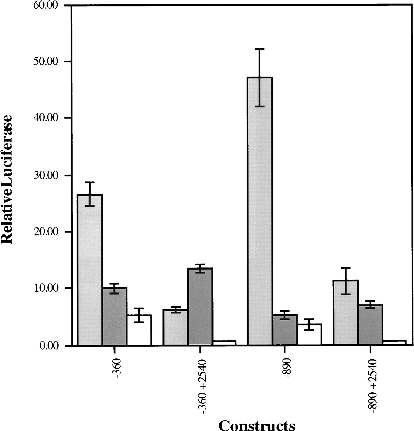
Luciferase assay of the promoter and enhancer activity of the conserved sequence flanking the first exon of BTK. Pictured is the luciferase expression observed in K562 myeloid cells (light shaded bar), HS Sultan B cells (dark shaded bar), and CEM T cells (open bar), with four different constructs containing portions of the sequence flanking the first exon of BTK as stated in base pairs. Each construct was coelectroporated a total of nine times (three sets of three) with CMVβgal and results were pooled and compared directly using β-galactosidase expression as a control.











