





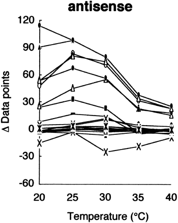
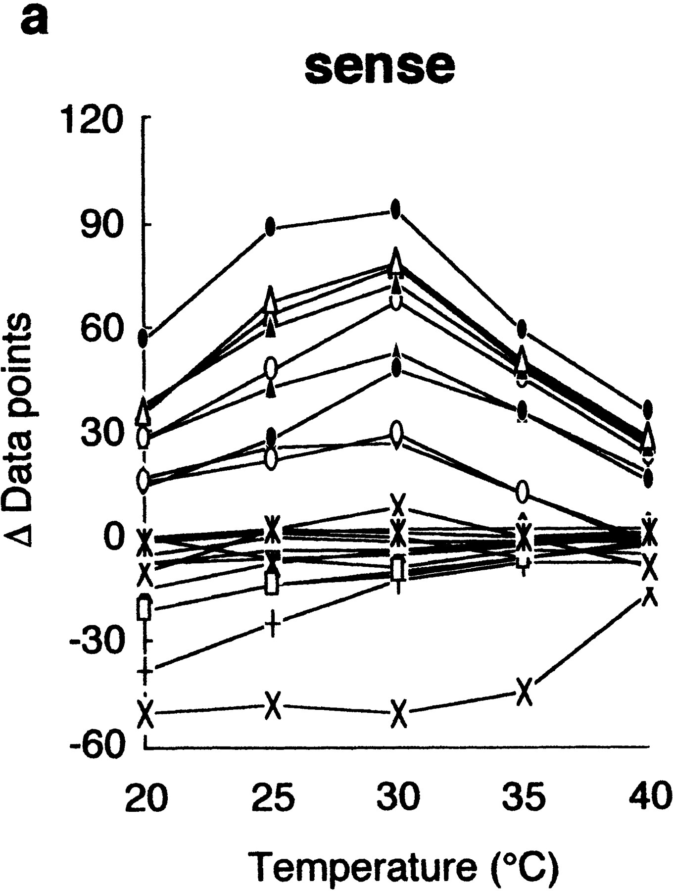
Figure 2.
Effects of temperature on mobility shift. Three sequence contexts, i.e., gyrA (a), hFIX exon 7 (b), and hFIX exon 8 (c), were analyzed at indicated temperatures using 3% GeneScan Polymer buffered with 1× TBE and 10% glycerol. The mobility shifts were estimated as described in the text.











