
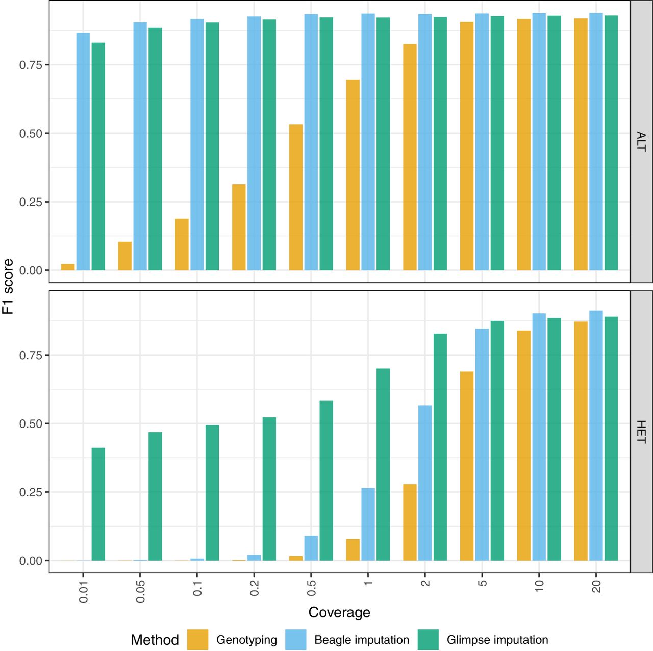
Figure 2.
Aggregate F1-scores of alternate allele calls (ALT) and heterozygous calls (HET) across all variant types, generated using each alignment/genotyping method in the impute-first alignment workflow compared with ground-truth HG002.











