
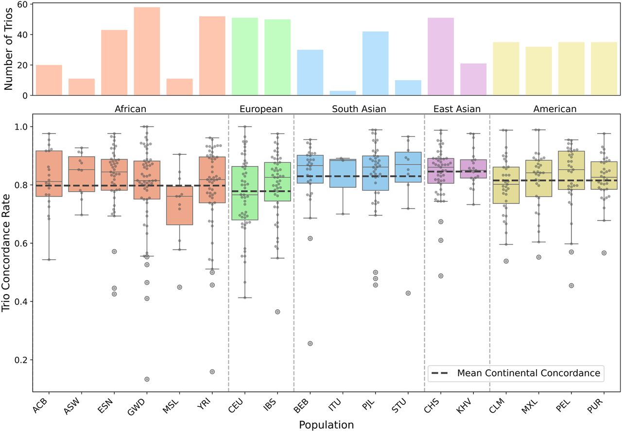
Figure 4.
IGHV concordance rates across populations and continents, demonstrating significant variation in genotyping accuracy among different ethnic groups (for population codes, see Supplemental Table 1).
(Downloading may take up to 30 seconds. If the slide opens in your browser, select File -> Save As to save it.)
Click on image to view larger version.

IGHV concordance rates across populations and continents, demonstrating significant variation in genotyping accuracy among different ethnic groups (for population codes, see Supplemental Table 1).