
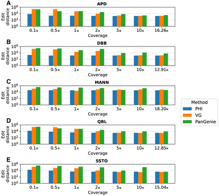
Figure 3.
Accuracy of the haplotype sequences estimated by PHI, VG, and PanGenie. We used short-read data sets from MHC sequences of five haplotypes: (A) APD, (B) DBB, (C) MANN, (D) QBL, (E) SSTO. The x-axes indicate the coverage of short-read data. The y-axes indicate the edit distance between the estimate haplotype sequence and the ground-truth sequence on a logarithmic scale.











