Scalable summary-statistics-based heritability estimation method with individual genotype level accuracy

(Downloading may take up to 30 seconds. If the slide opens in your browser, select File -> Save As to save it.)

Click on image to view larger version.

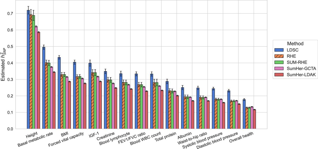
Figure 5.
Figure 5.

Application to UK Biobank phenotypes.

This Article

  1. Genome Res. 34: 1286-1293

Preprint Server