
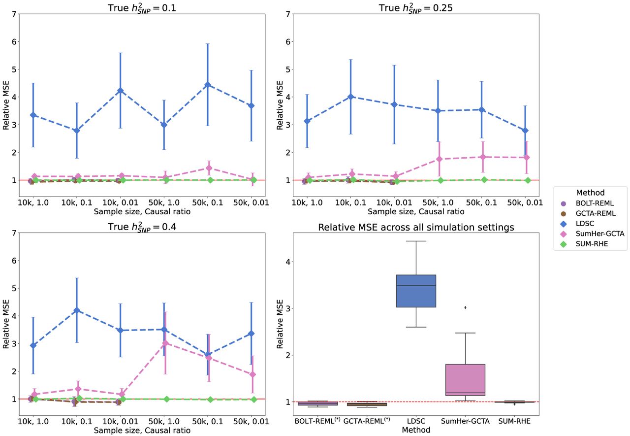
Figure 4.
Comparison of MSE and SE of the summary-statistics-based methods against RHE on simulations with mixtures of large and small genetic effects. Here we report the relative MSE of the five methods on the mixture-of-effect simulations. Their performances are similar to those in the previous simulations (Fig. 2). SUM-RHE has an MSE within ±5% relative to RHE.











