
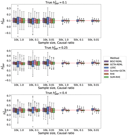
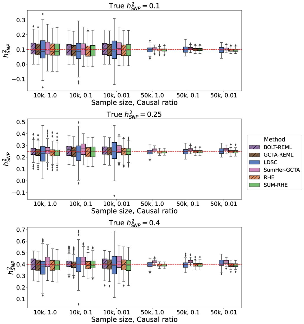
Figure 3.
Comparison of SNP heritability estimates across methods on simulations with mixtures of large and small genetic effects.
(Downloading may take up to 30 seconds. If the slide opens in your browser, select File -> Save As to save it.)
Click on image to view larger version.

Comparison of SNP heritability estimates across methods on simulations with mixtures of large and small genetic effects.