
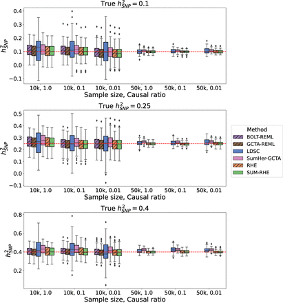
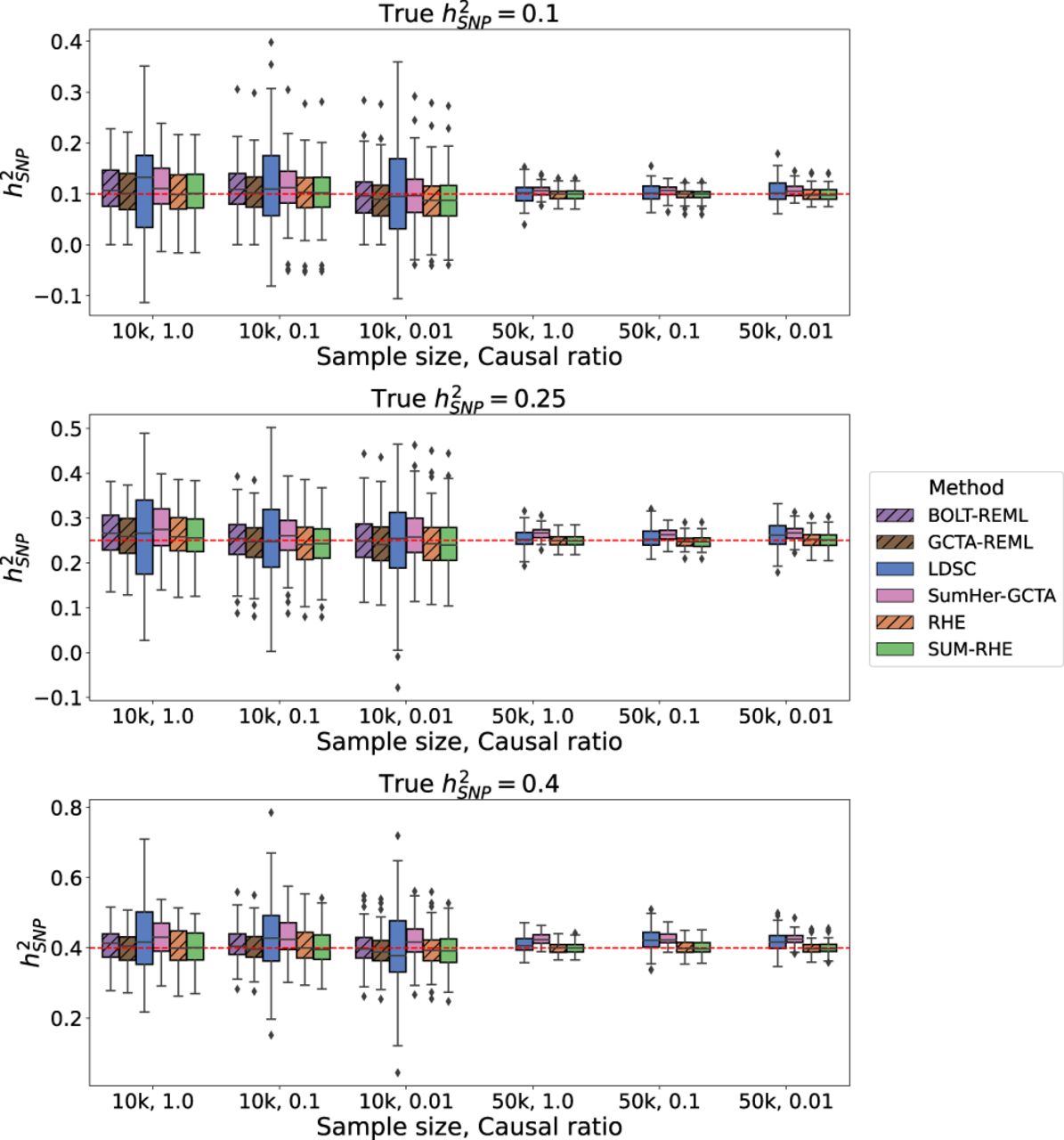
Figure 1.
Comparison of SNP heritability estimates across methods. SUM-RHE heritability estimates are comparable to those from RHE or BOLT-REML/GCTA-GREML and are significantly more accurate than those of LDSC and SumHer. Because of computational limitations, BOLT-REML/GCTA-GREML was not run on the N = 50k simulations. Dashed hatches denote individual-level data methods.











