
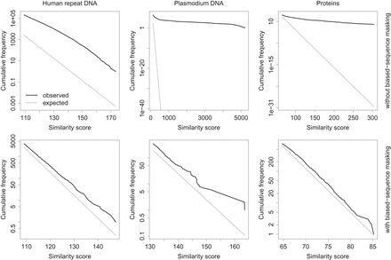
Figure 5.
Heuristic similarity scores between reversed and nonreversed sequences, with or without biased-sequence masking.
(Downloading may take up to 30 seconds. If the slide opens in your browser, select File -> Save As to save it.)
Click on image to view larger version.

Heuristic similarity scores between reversed and nonreversed sequences, with or without biased-sequence masking.