
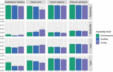
Figure 5.
The sensitivity, specificity, PPV, and NPV of PaGeSearch tested on chromosome-level, scaffold-level, and contig-level assemblies.
(Downloading may take up to 30 seconds. If the slide opens in your browser, select File -> Save As to save it.)
Click on image to view larger version.

The sensitivity, specificity, PPV, and NPV of PaGeSearch tested on chromosome-level, scaffold-level, and contig-level assemblies.