
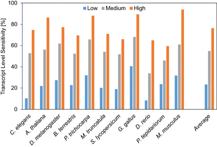
Figure 4.
Lowly, medium, and highly expressed transcripts are in the first, second, and third terciles of expression levels, respectively.
(Downloading may take up to 30 seconds. If the slide opens in your browser, select File -> Save As to save it.)
Click on image to view larger version.

Lowly, medium, and highly expressed transcripts are in the first, second, and third terciles of expression levels, respectively.