
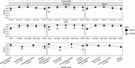
Figure 2.
Comparisons of F1 score, precision, and recall between MuSE 2 and Strelka2 within each bin of variant allele frequency (VAF; top), sequencing read depth (middle), or variant class (bottom) for TCGA WES data. The calls of each method and the consensus calls, which are used as the truth set, are pooled from the WES data of five patient samples in TCGA.











