
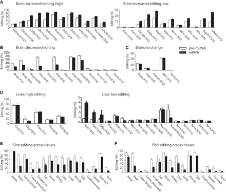
Pre-mRNA and mRNA editing levels differ across a panel of conserved protein-coding editing targets. Nascent and corresponding total RNA were isolated from mouse (2 wk of age) brain (A–C) or liver (D), or from a set of tissues of 8-wk-old mice (E,F). Pre-mRNA and mRNA were converted to cDNA followed by amplicon-seq. (A) Increased editing in mRNA versus pre-mRNA. (Left) Substrates with intrinsically high editing levels. (Right) Substrates with intrinsically low editing levels. (B) Decreased editing in mRNA versus pre-mRNA. (C) A set of editing sites with identical pre-mRNA and mRNA editing levels. (D) Pre-mRNA and mRNA editing in liver. (Left) Substrates with intrinsically high editing. (Right) Substrates with intrinsically low editing. (E,F) Editing levels of Flna or Flnb pre-mRNA and mRNA across different tissues. White bars indicate pre-mRNA; black bars, mRNA (n = 4 or 5).











