
Figure 1.
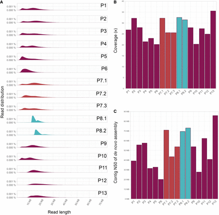
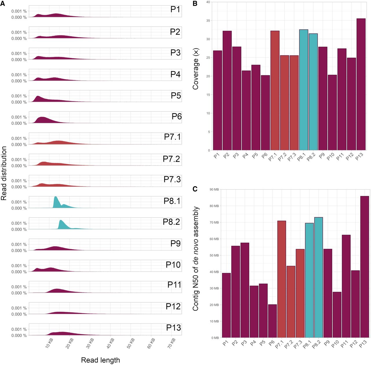
Quality measures of lrGS. (A) Read length distribution, (B) coverage, and (C) N50 of de novo assembly.
(Downloading may take up to 30 seconds. If the slide opens in your browser, select File -> Save As to save it.)
Click on image to view larger version.

Quality measures of lrGS. (A) Read length distribution, (B) coverage, and (C) N50 of de novo assembly.