
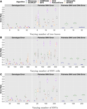
Figure 3.
Group 2: evaluation of scalability. Genotype error, pairwise SNV error, and pairwise SNV/CNA error are shown for SCsnvcna, SCARLET, COMPASS, SiFit, SCG, RobustClone, SiCloneFit, and BitSC2 on varying number of tree leaves (A), varying number of SNV cells (B), and varying number of SNVs (C).











