
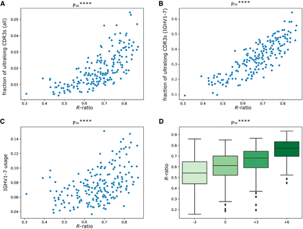
GSV at position 148 of IGHV1-7 is associated with production of ultralong antibodies. (A) Fractions of ultralong CDR3s in all CDR3s versus R-ratios of the GSV G148A in IGHV1-7. (B) Fractions of ultralong CDR3s in all CDR3s derived from IGHV1-7 versus R-ratios of the GSV G148A in IGHV1-7. (C) Usages of IGHV1-7 in the combined data set versus R-ratios of the GSV G148A at position 148 in IGHV1-7. (D) Distributions of R-ratios for position 148 in IGHV1-7 at four time points.











