
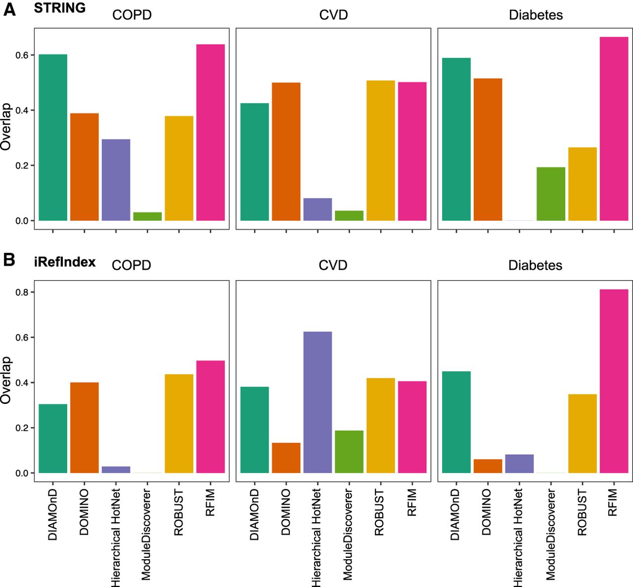
Figure 7.
Overlap of disease modules detected from small and large genome-wide association studies (GWAS) of the same disease. For each
interactome, STRING (A) or iRefIndex (B), we applied each disease module detection method into the two GWAS of the same disease, separately. Denote the disease modules
identified from the small and big GWAS as
and
, respectively. Then, the overlap is defined as
.











