
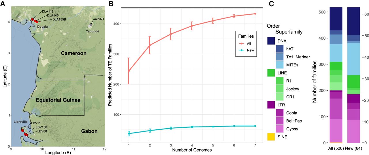
Transposable elements in three urban populations of An. coluzzii. (A) Geographic location of the six breeding sites analyzed, three in Douala (DLA) and three in Libreville (LBV) (in red), and of the place of origin of the Ngousso colony (in gray) that was used to generate the AcolN1 genome. (B) Number of TE families identified when using a single genome or when using all possible combinations of more than one genome. The red line shows the total number of TE families, and the blue line shows the number of newly described families. Note that on average 76% of all the TE copies where already identified when analyzing a single genome (Supplemental Fig. S1). (C) Classification of all TE families and newly described families in An. coluzzii. The three most abundant superfamilies from each order are shown.











