
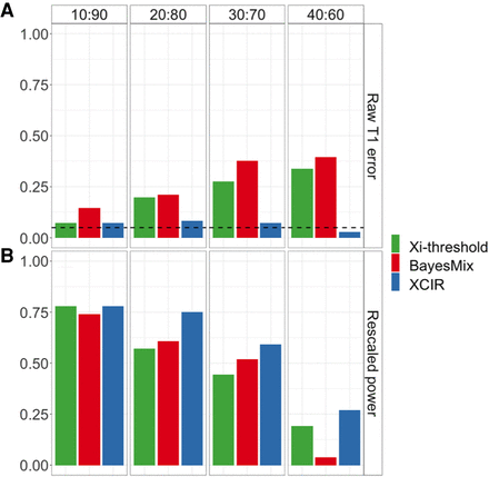
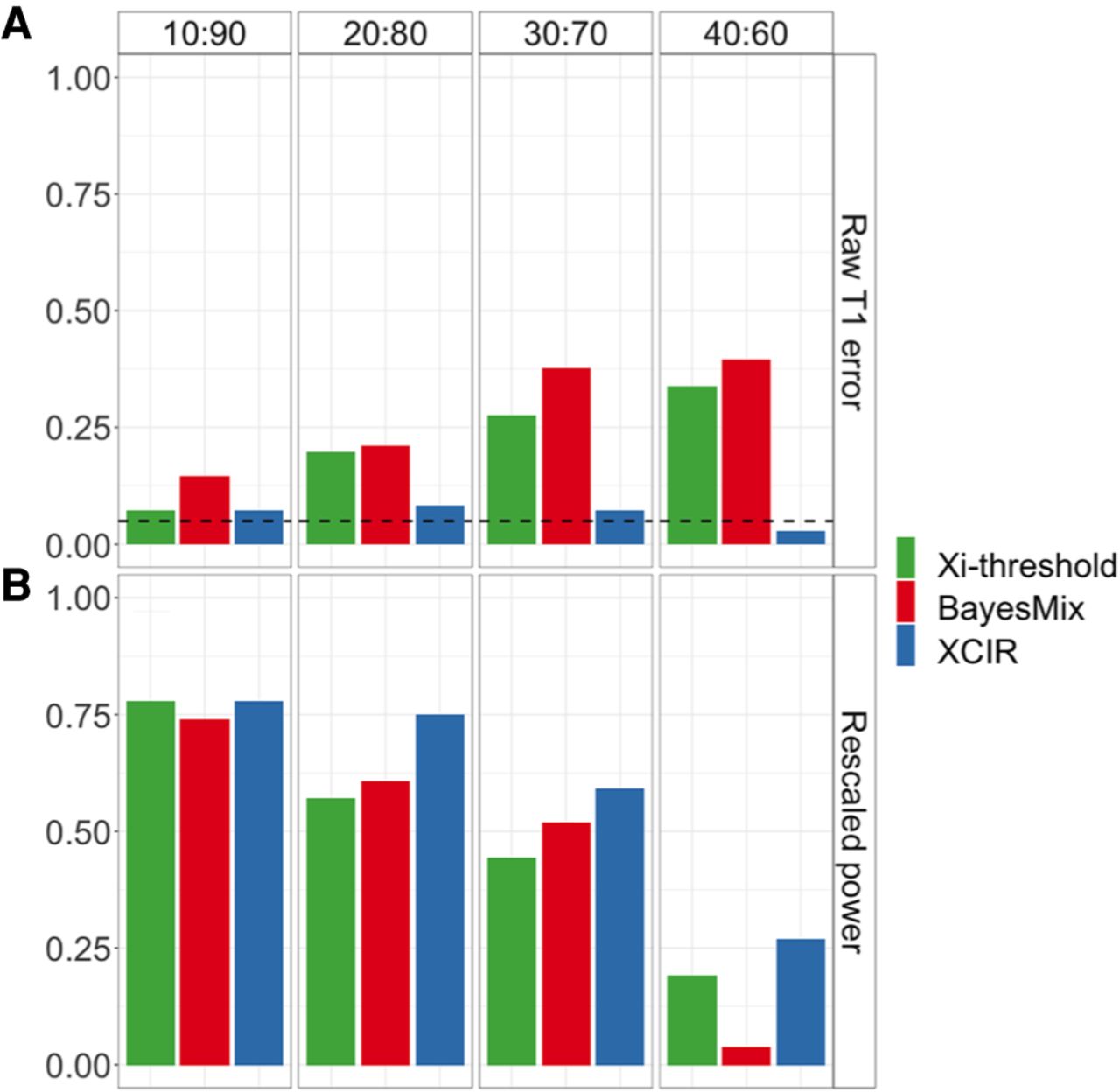
Figure 2.
XCI inference in single-cell clone mixing experiment. The proportion of each single-cell clonal line in the mixed sample is indicated at the top of the panel and is equivalent to the true skewing of each sample. (A) Raw type 1 error. (B) Rescaled power at the empirical threshold for 5% type 1 error.











