
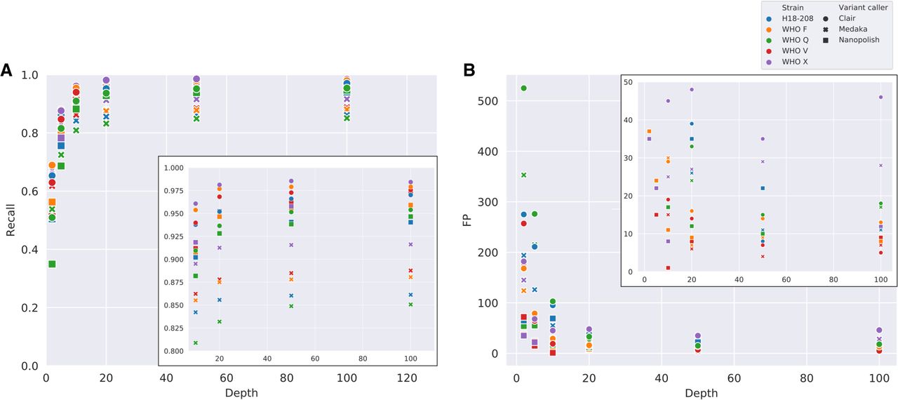
Figure 3.
Effect of read coverage depth on SNP calling for each strain and variant caller. (A) SNP recall by median depth of coverage. (B) False positive SNPs (FP) by median depth of coverage. Color represents different sequences, shapes represent variant callers, circles are Clair, crosses are Medaka, and squares are Nanopolish. Insets show upper and lower regions of the y-axis in more detail for A and B, respectively.











