Long-read sequencing for non-small-cell lung cancer genomes

Click on image to view larger version.

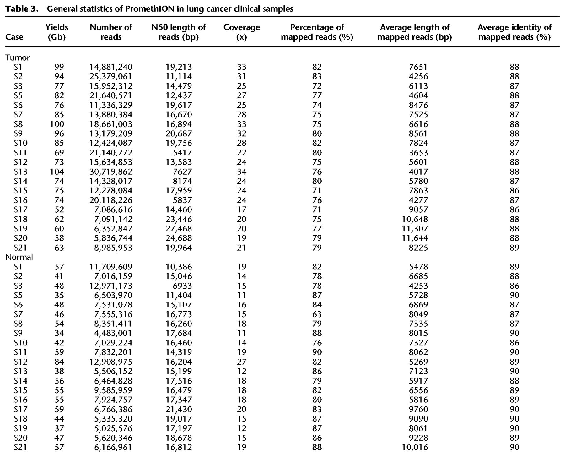
Table 3.

This Article

  1. Genome Res. 30: 1243-1257

Preprint Server