
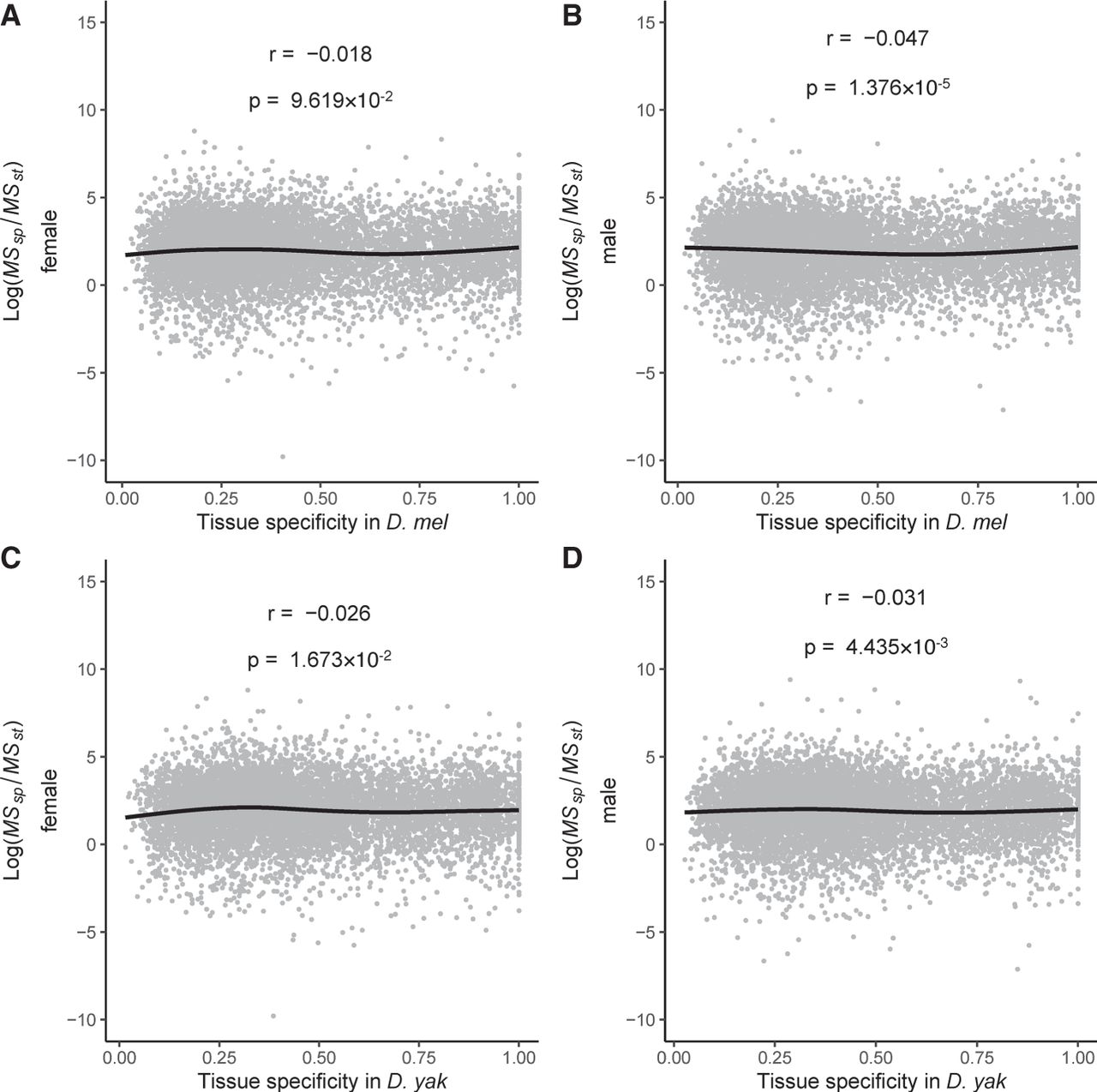
Expression breadth across tissues does not constrain gene expression evolution in the brain. There is a very weak but significant negative relationship between tissue specificity and MSspecies/MSstrain in the brain. The plots show the distribution of MSspecies/MSstrain for a range of tissue specificity in (A) D. melanogaster females, (B) D. melanogaster males, (C) D. yakuba females, and (D) D. yakuba males. A tissue specificity of one indicates expression in only one tissue, and a low tissue specificity indicates broad expression. Correlations shown are Spearman's correlations. Lines are generalized additive model smoothing curves. Sex-biased genes are defined in the same way as in Figure 4.











