
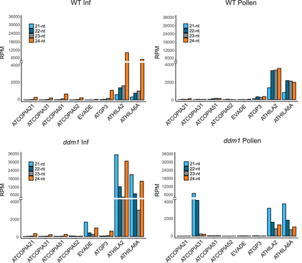
Figure 5.
Small RNA profiles of representative LTR retrotransposons; 21-, 22-, 23-, and 24-nt small RNA levels in inflorescence tissues and pollen of WT and ddm1. Reads per million (RPM) were calculated from entire elements, including LTR and coding sequences.











