
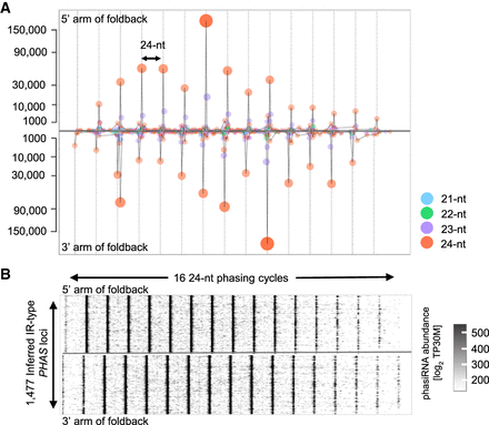
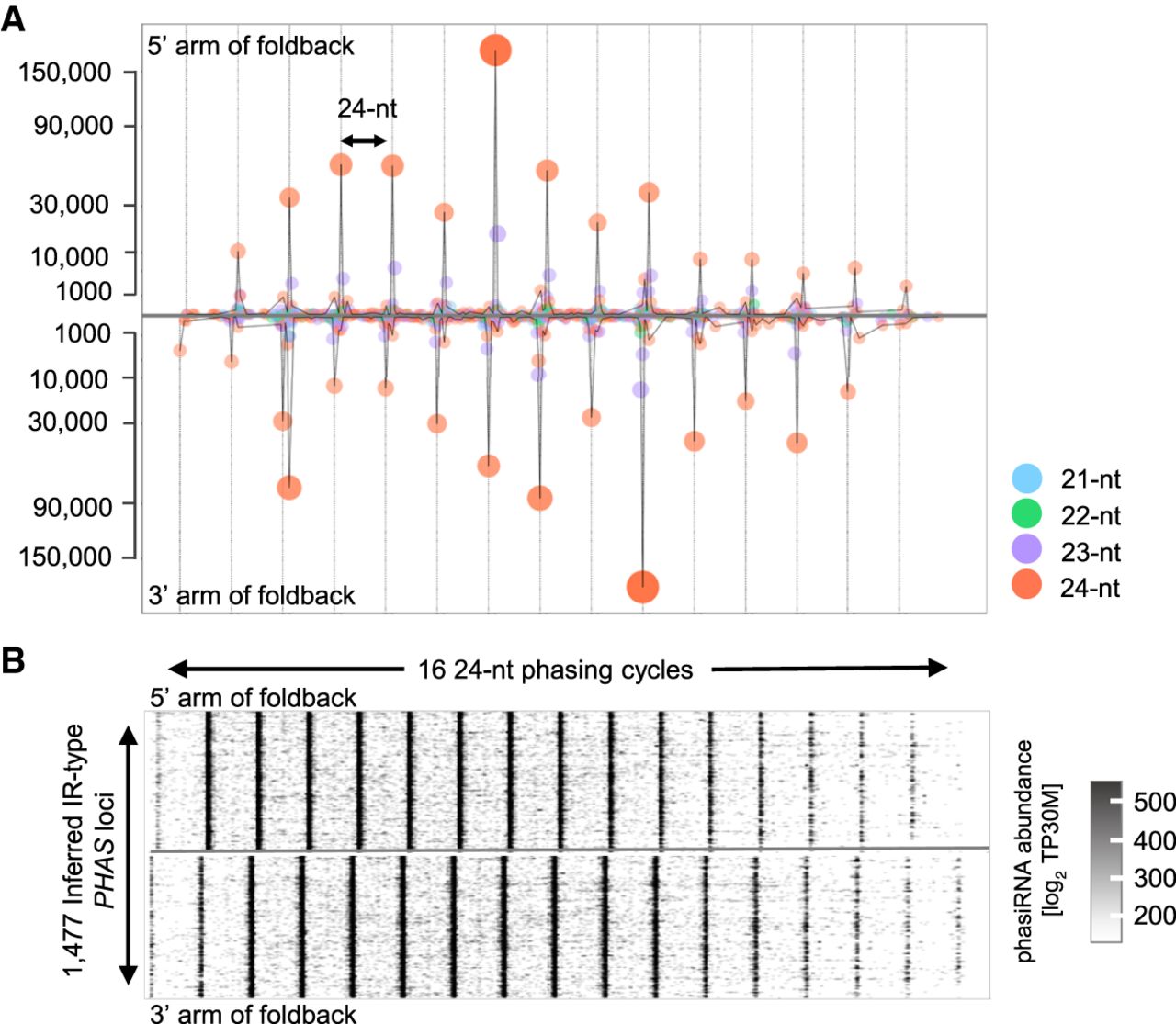
Foldback and IR PHAS precursor transcripts yield abundant phasiRNAs. (A) Summed sRNA abundances from 5′ and 3′ arms of 50 foldback-PHAS transcripts show a clear 24-nt phasing with a 2-nt overhang. Representative foldback-PHAS with foldback score >500, arm length >384 (eight or more phases) were used to generate this distribution plot. (B) Scatterplot of sRNA abundances from 5′ and 3′ arm of inferred IR-type PHAS transcripts (n = 1477) show a strong 24-nt phasing pattern with a 2-nt overhang between the paired arms.











