
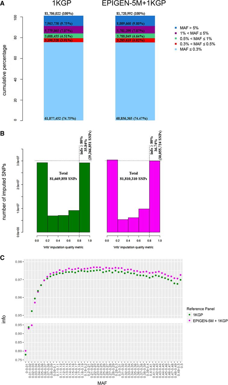
Comparison between the 1000 Genomes Project (1KGP) and EPIGEN-5M+1KGP imputation reference panels for autosomal chromosomes. The EPIGEN-5M+1KGP panel is the fusion of the haplotypes derived from the EPIGEN-5M data set (the genotyping of 265 EPIGEN-Brazil individuals for 4.3 million SNPs) with the public 1KGP Phase 3 imputation panel. (A) Allele frequency spectrum of variants by their minor allele frequency (MAF) in each imputation reference panel. The number of SNPs is described in each category, and the percentages are calculated dividing the number of SNPs in each MAF class by the total number of SNPs of each imputation reference panel (top). (B) Distribution of the info score quality metric for imputation results. The dashed vertical line indicates the 0.8 threshold info score value, and the horizontal line indicates the highest number of SNPs info score ≥0.8 achieved by a reference panel. (C) Imputation quality (mean info score) as a function of MAF for the target data set after imputation with each of the tested reference panels (MAF bin sizes of 0.01).











