
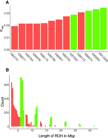
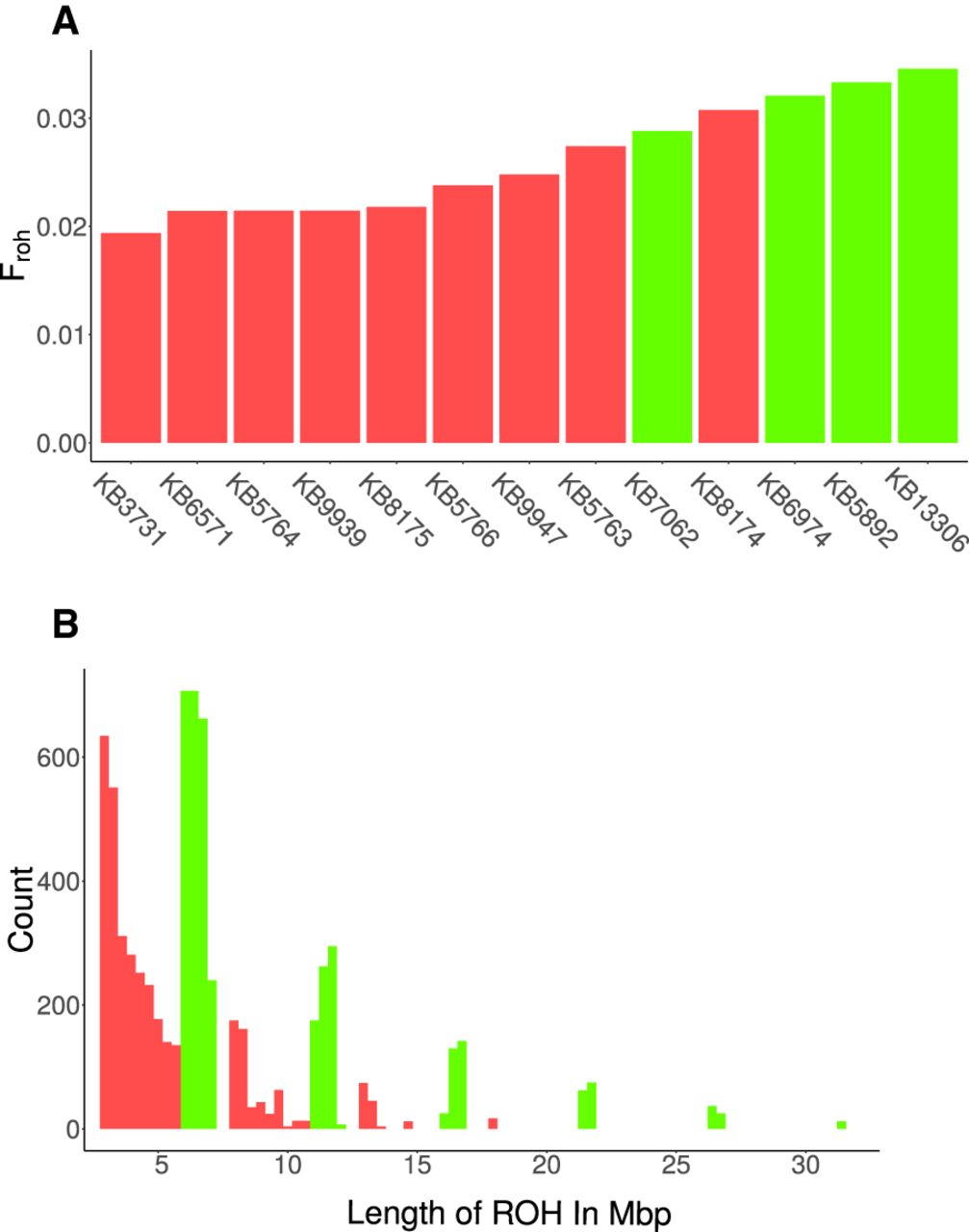
Figure 4.
Inbreeding in the white rhinoceros. (A) Estimated percentage of genome-wide autozygosity (Froh) for nine northern (red) and four southern (green) white rhinoceroses. (B) Length distribution of ROH in each NWR and SWR (individual order from left to right: KB8174, KB5763, KB5766, KB133068, KB8175, KB3731, KB5764, KB6571, KB9939, KB13306, KB6974, KB5892, KB7062), grouped by ROH lengths from 5 to 30 Mbp.









