
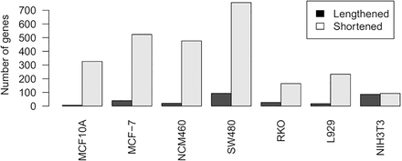
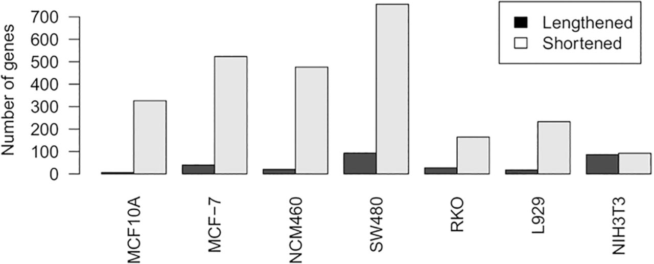
Figure 2.
Numbers of genes with significant 3′ UTR length differences between fractions with and without bound polysomes. The data for different biological replicates for each cell line were combined. A test of linear trend alternative to independence was performed, and FDR < 0.01 and |r| > 0.1 corresponds to a significant threshold.











