Fast and accurate de novo genome assembly from long uncorrected reads

(Downloading may take up to 30 seconds. If the slide opens in your browser, select File -> Save As to save it.)

Click on image to view larger version.

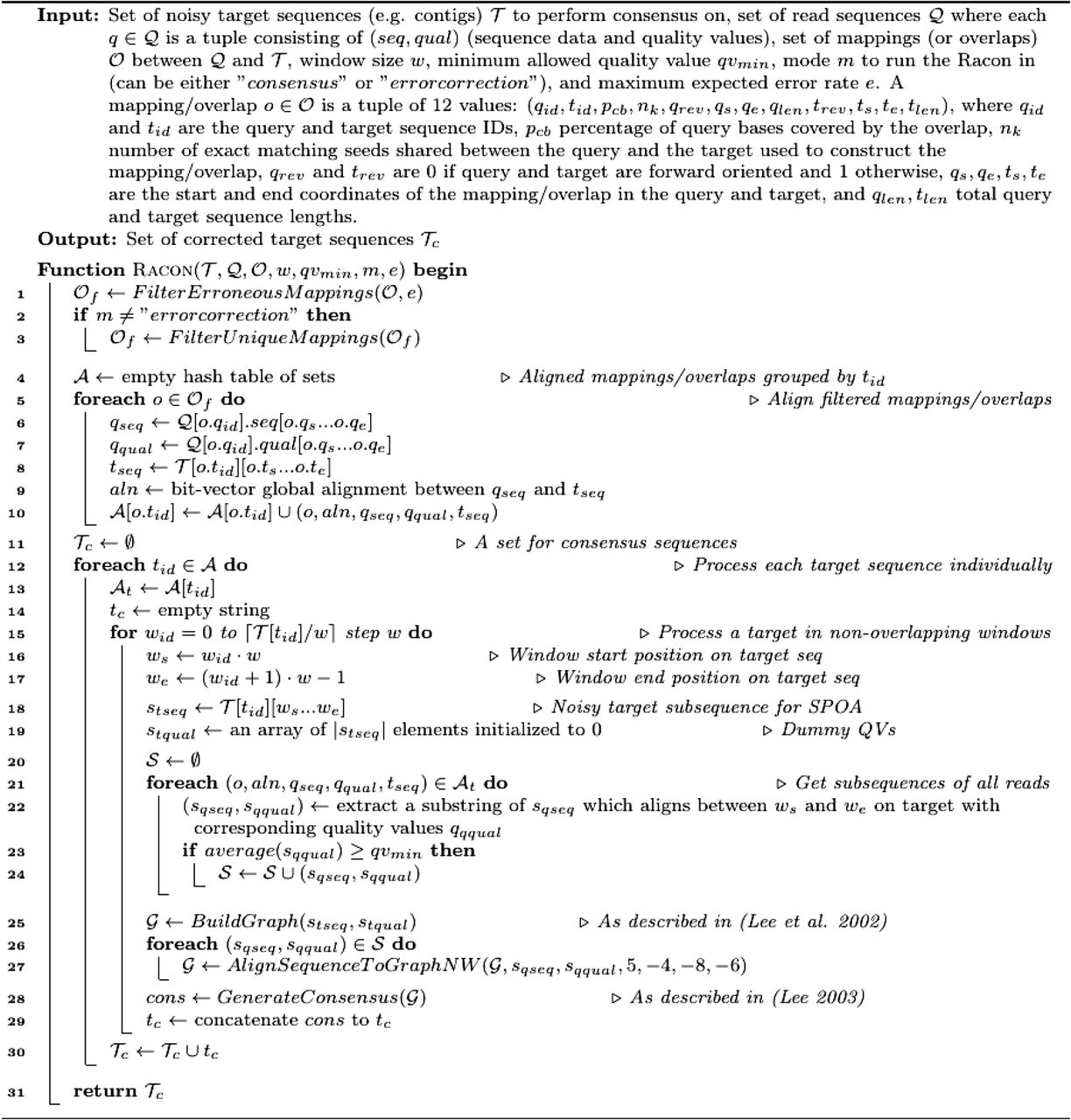
Algorithm 1.
Algorithm 1.

The Racon algorithm for consensus generation.

This Article

  1. Genome Res. 27: 737-746

Preprint Server