
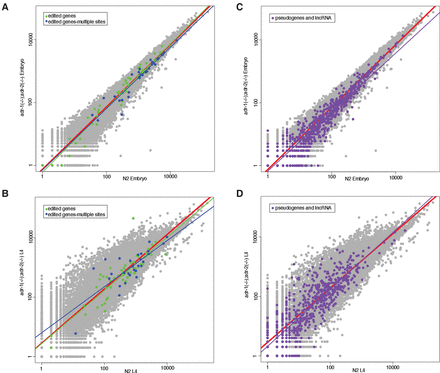
Genes edited at their 3′ UTR are down-regulated in ADAR mutant worms; pseudogenes are down-regulated only at embryo stage. Log scale plots presenting expression of genes in wild-type (N2) worms versus ADAR mutant worm at embryo stage (A,C) or L4 larval stage (B,D). Every dot in the graphs represents a gene. The red line is the regression line for all genes. 3′ UTR-edited genes with one editing site are in green, and the regression line is presented in green. 3′ UTR-edited genes with multiple editing sites are in blue, and the regression line is presented in blue. Purple dots indicate pseudogenes and lncRNAs, and the regression line is presented in purple.











