
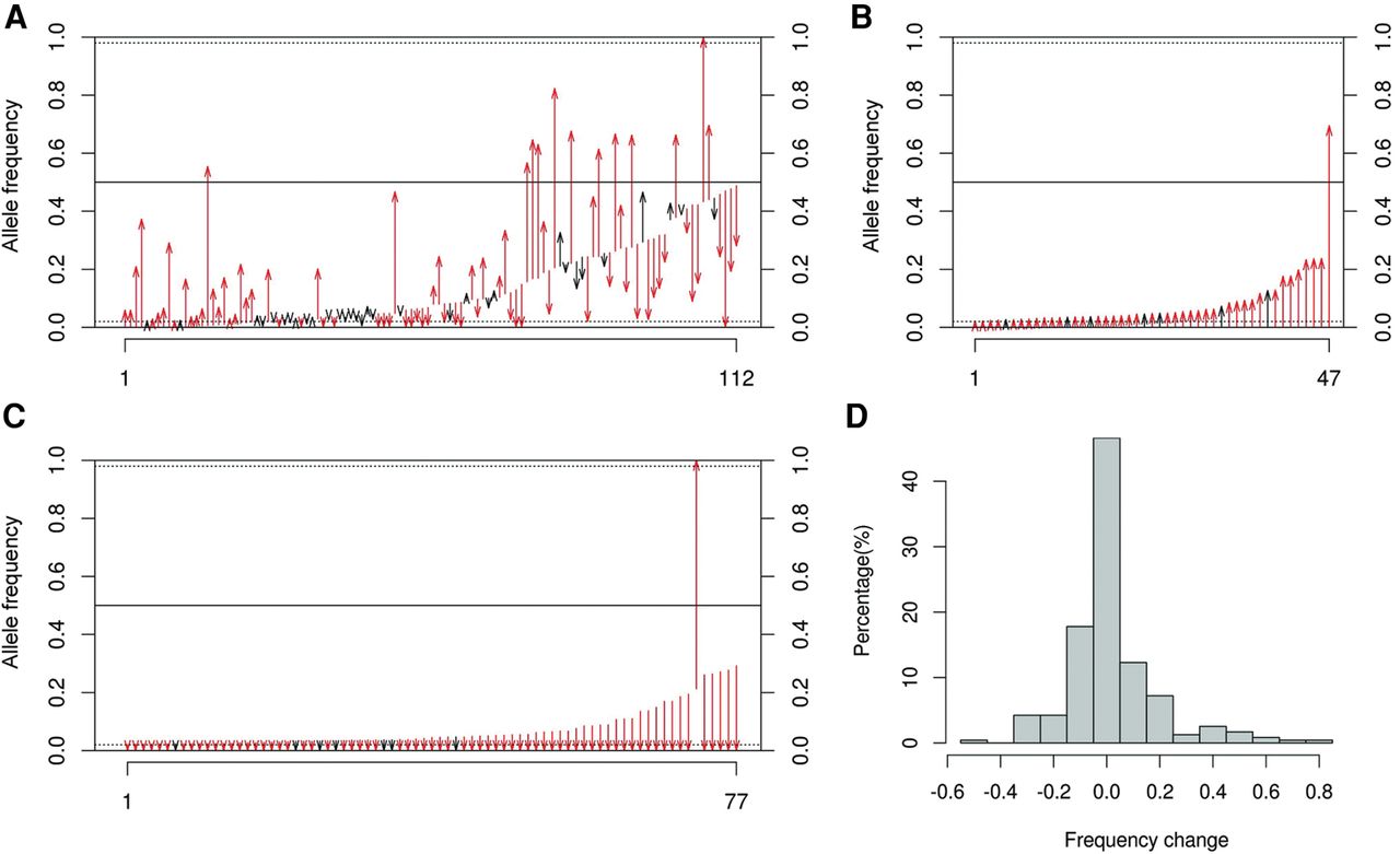
Minor allele frequency (MAF) changes between mothers and offspring. Red arrows indicate cases in which the MAF changed significantly between mother and offspring (P < 0.00001, Fisher's exact test). (A) MAF change for heteroplasmies detectable in both mothers and offspring. (B) MAF change for heteroplasmies detected in offspring but not in mothers. (C) MAF change for heteroplasmies detected in mothers but not in offspring. (D) Summary of the MAF changes observed for all heteroplasmies.











