
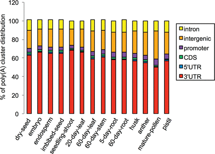
Figure 1.
Distribution of PACs in genomic regions in different samples. (CDS) Coding sequences; (3′ UTR) three primer untranslated region; (5′ UTR) five primer untranslated region.
(Downloading may take up to 30 seconds. If the slide opens in your browser, select File -> Save As to save it.)
Click on image to view larger version.

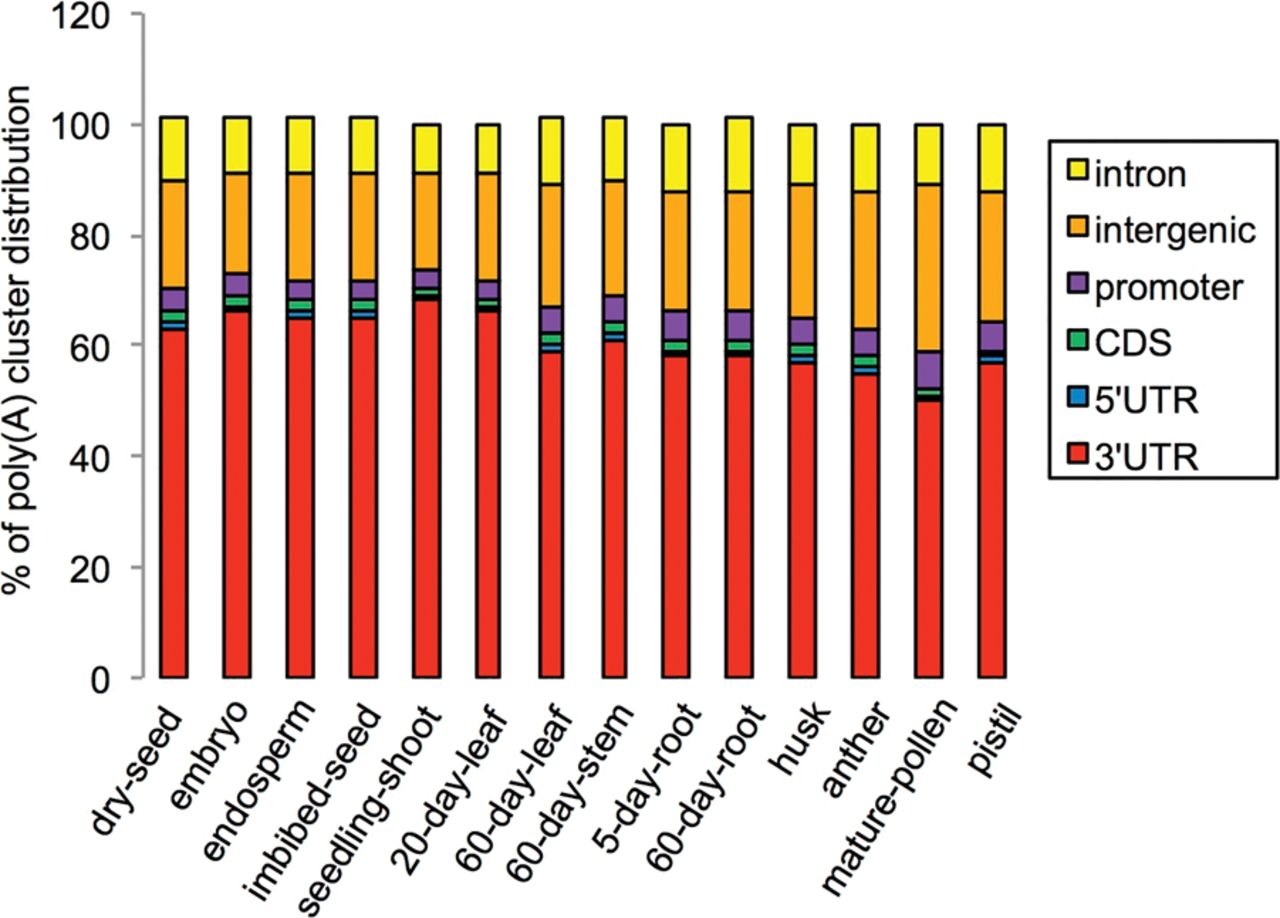
Distribution of PACs in genomic regions in different samples. (CDS) Coding sequences; (3′ UTR) three primer untranslated region; (5′ UTR) five primer untranslated region.